Magna Concursos

Foram encontradas 536 questões.

3147559 Ano: 2024
Disciplina: Direito Sanitário
Banca: Funatec
Orgão: Pref. Abadiânia-GO
Provas:
Qual é a principal desvantagem dos cemitérios tradicionais em relação aos crematórios:
 

Provas

Questão presente nas seguintes provas
3147558 Ano: 2024
Disciplina: Direito Ambiental
Banca: Funatec
Orgão: Pref. Abadiânia-GO
Provas:
De acordo com a Resolução do CONAMA 335/2003, o que é necessário para qualquer situação de sepultamento:
 

Provas

Questão presente nas seguintes provas
3147557 Ano: 2024
Disciplina: Direito Sanitário
Banca: Funatec
Orgão: Pref. Abadiânia-GO
Provas:
O que caracteriza os crematórios em termos de tratamento dos corpos:
 

Provas

Questão presente nas seguintes provas
3147556 Ano: 2024
Disciplina: Direito Sanitário
Banca: Funatec
Orgão: Pref. Abadiânia-GO
Provas:
Quais são as vantagens do cemitério vertical em comparação com os tradicionais:
 

Provas

Questão presente nas seguintes provas
3147555 Ano: 2024
Disciplina: Direito Sanitário
Banca: Funatec
Orgão: Pref. Abadiânia-GO
Provas:
Quais são os componentes típicos de um cemitério tradicional:
 

Provas

Questão presente nas seguintes provas

Sabe-se que (2y + 35 = 44,6) assinale a assertiva que representa a metade de y.

 

Provas

Questão presente nas seguintes provas

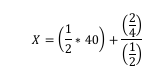
Assinale a assertiva que representa o valor de “X” na seguinte expressão.

Enunciado 3545137-1

 

Provas

Questão presente nas seguintes provas
Uma costureira separou R$ 1.200,00 para comprar um tecido, ela comprou 13,5 metros do tecido desejado e ainda lhe sobrou R$ 12,00 dos R$ 1.200,00. A costureira utilizou 1,5 metros do tecido comprado para fazer uma única peça de roupa. Assinale a assertiva que apresenta o custo do tecido utilizado na peça de roupa feita pela costureira.
 

Provas

Questão presente nas seguintes provas
Ana acertou 65% da prova de ciências e João acertou Enunciado 3545135-1 da mesma prova. Assinale a assertiva que apresenta uma verdade a respeito desses alunos.
 

Provas

Questão presente nas seguintes provas
Em uma sala de aula 35% da quantidade de alunos são meninas e 78 alunos são meninos. Assinale a assertiva que apresenta a quantidade de meninas que compõem essa turma.
 

Provas

Questão presente nas seguintes provas