Foram encontradas 40 questões.
- EcologiaEcologia de Populações e EcossistemasCadeias e teias alimentares
- Identidade dos Seres Vivos
- Reino AnimalIntrodução ao Estudo dos Animais
- Níveis de organização da vida
O Manual de Controle de Escorpiões do Ministério da Saúde explica que os escorpiões não devem ser combatidos nas residências com
o uso de venenos em spray, comumente utilizados para matar baratas, já que, eles podem permanecer com seus estigmas pulmonares
fechados por um longo período e assim não serem afetados pelo veneno, criando uma falsa sensação de proteção por parte das pessoas
que acreditam que o problema foi resolvido.
A partir deste contexto, é CORRETO o que se afirma em:
A partir deste contexto, é CORRETO o que se afirma em:
Provas
Questão presente nas seguintes provas
- EcologiaEcologia de Populações e EcossistemasCadeias e teias alimentares
- Níveis de organização da vida
No Brasil, há uma espécie de aranha do gênero Synemosina da familia Salticidae, comumente encontrada em formigueiros. Há uma semelhança morfológica entre as duas espécies, além de comportamentos atípicos para aranhas, tais como levantar o primeiro ou o
segundo par de patas quando se deslocam no formigueiro, como se fossem as antenas das formigas. Além de ter alimento em
abundância, estas aranhas encontram-se abrigadas contra vários tipos de predadores.
Este é um exemplo de:
Este é um exemplo de:
Provas
Questão presente nas seguintes provas
Ao analisar a história da vida na Terra conclui-se que houve procariotos anaeróbios que se originaram, proliferaram e declinaram
quando mudou a concentração de oxigênio na atmosfera. Também se infere que os anfíbios, originaram-se dos primeiros tetrápodes
que ganharam os continentes saindo do mar, dominando o ambiente terrestre até serem depostos por outros tetrápodes, como
dinossauros. Por fim, mais recentemente, temos os mamíferos como vertebrados terrestres dominantes. Ao considerarmos estes
eventos com mais detalhes é CORRETO afirmar que apogeu e queda destes organismos estão relacionados com as taxas de especiação
e de extinção, que são influenciadas por processos em grande escala, como radiação adaptativa.
Sobre este contexto afirma-se que:
I- Houve processo evolutivo, em que uma espécie se dividiu em duas ou mais.
II- Ocorreram períodos de mudança evolutiva nos quais os grupos de organismos formaram várias espécies novas, cujas adaptações lhes permitiram preencher papeis ecológicos ou de nichos nas suas comunidades.
III- Houve organismos com rota catabólica, na qual moléculas inorgânicas, com exceção do oxigênio, recebem elétrons no final das cadeias de transporte de elétrons.
É CORRETO o que se afirma em:
Sobre este contexto afirma-se que:
I- Houve processo evolutivo, em que uma espécie se dividiu em duas ou mais.
II- Ocorreram períodos de mudança evolutiva nos quais os grupos de organismos formaram várias espécies novas, cujas adaptações lhes permitiram preencher papeis ecológicos ou de nichos nas suas comunidades.
III- Houve organismos com rota catabólica, na qual moléculas inorgânicas, com exceção do oxigênio, recebem elétrons no final das cadeias de transporte de elétrons.
É CORRETO o que se afirma em:
Provas
Questão presente nas seguintes provas
As propagandas das rações super premium enfatizam que sua ingesta resulta fezes menos volumosas, com odor mais fraco e melhor formadas, quando comparadas às fezes de animais que se alimentam de rações de qualidade inferior.
Considerando estas informações, analise as asserções a seguir e a relação entre elas.
I- A qualidade deste tipo de ração está relacionada a sua composição nutricional, que é superiormente digerível em relação as rações consideradas de qualidade inferior.
PORQUE
II- Quanto maior for a qualidade nutricional do alimento e da sua digestibilidade, menor será a quantidade de fezes, já que as fezes são formadas por parte da alimentação indigerível.
A respeito dessas asserções, assinale a opção CORRETA.
Considerando estas informações, analise as asserções a seguir e a relação entre elas.
I- A qualidade deste tipo de ração está relacionada a sua composição nutricional, que é superiormente digerível em relação as rações consideradas de qualidade inferior.
PORQUE
II- Quanto maior for a qualidade nutricional do alimento e da sua digestibilidade, menor será a quantidade de fezes, já que as fezes são formadas por parte da alimentação indigerível.
A respeito dessas asserções, assinale a opção CORRETA.
Provas
Questão presente nas seguintes provas
- Biologia CelularCitologiaCiclo CelularNúcleo interfásico e código genético
- GenéticaAspectos Básicos e Leis de Mendel
- GenéticaHereditariedade
- Moléculas, células e tecidos
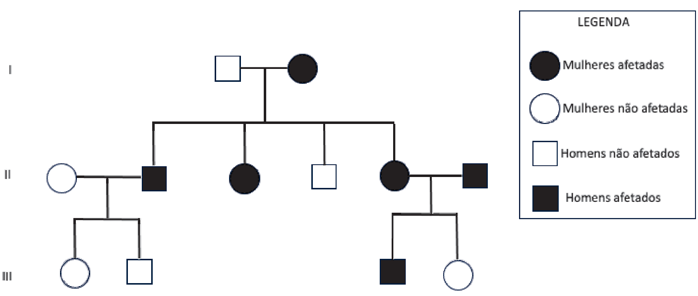
Observe o heredograma com 3 gerações de famílias representadas.

A partir do heredograma, analise as afirmações abaixo.
I- A doença que afeta as pessoas não é ligada ao cromossomo X, já que há homens afetados em duas gerações diferentes.
II- As pessoas afetadas destas famílias possuem uma doença autossômica dominante, já que o casal composto por um homem e uma mulher afetados apresenta fenótipo diferente de seus descendentes.
III- Uma vez que há mulheres afetadas nestas famílias, a doença não pode ser ligada ao cromossomo Y.
IV- A doença que afeta a família é recessiva, já que o casal composto por um homem afetado com uma mulher não afetada gerou descentes não afetados.
É CORRETO o que se afirma apenas em:

A partir do heredograma, analise as afirmações abaixo.
I- A doença que afeta as pessoas não é ligada ao cromossomo X, já que há homens afetados em duas gerações diferentes.
II- As pessoas afetadas destas famílias possuem uma doença autossômica dominante, já que o casal composto por um homem e uma mulher afetados apresenta fenótipo diferente de seus descendentes.
III- Uma vez que há mulheres afetadas nestas famílias, a doença não pode ser ligada ao cromossomo Y.
IV- A doença que afeta a família é recessiva, já que o casal composto por um homem afetado com uma mulher não afetada gerou descentes não afetados.
É CORRETO o que se afirma apenas em:
Provas
Questão presente nas seguintes provas
- Biologia CelularCitologiaCiclo CelularNúcleo interfásico e código genético
- Identidade dos Seres Vivos
- Reino VegetalIntrodução aos estudos das Plantas
- Moléculas, células e tecidos
Plantas e animais partilham uma importante característica em comum: são constituídos por células eucarióticas.
Considerando esta informação, analise as asserções a seguir e a relação entre elas.
I- Há dois componentes celulares envolvidos no controle genético das células destes organismos: o núcleo e os ribossomos.
PORQUE
II- As instruções genéticas das células eucarióticas são guardadas no núcleo, que contém a maior parte de DNA da célula, e executadas pelos ribossomos, que utilizam as informações do DNA para sintetizar proteínas.
A respeito dessas asserções, assinale a opção CORRETA.
Considerando esta informação, analise as asserções a seguir e a relação entre elas.
I- Há dois componentes celulares envolvidos no controle genético das células destes organismos: o núcleo e os ribossomos.
PORQUE
II- As instruções genéticas das células eucarióticas são guardadas no núcleo, que contém a maior parte de DNA da célula, e executadas pelos ribossomos, que utilizam as informações do DNA para sintetizar proteínas.
A respeito dessas asserções, assinale a opção CORRETA.
Provas
Questão presente nas seguintes provas
TEXTO II
O Ministério da Saúde publicou uma versão do Guia Alimentar para a População Brasileira, na qual, a pessoa que lê vai respondendo
perguntas específicas acerca dos seus hábitos alimentares. A partir das respostas dadas, a pessoa é levada a uma reflexão sobre o que
deve fazer para ter uma vida mais saudável. Entre outras recomendações, o guia indica o consumo diário de: 6 porções de arroz, pães,
bolos sem recheio, biscoitos sem recheio, massas, batata e mandioca; 3 porções de verduras e legumes; 3 porções de frutas.
Um professor respondeu à pergunta “Qual a quantidade, em média, que você consome por dia dos alimentos listados abaixo?” da
seguinte forma:
a - Arroz, milho e outros cereais: 06 colheres de sopa.
b - Pães e bolos sem recheio: 03 unidades e 02 fatias respectivamente.
c - Frutas: 2 fatias.
d - Verduras: 6 unidades.
Para calcular o número de porções consumidas, deve-se seguir a figura abaixo.

Fonte adaptada de: BRASIL. Ministério da Saúde. Secretaria de
Atenção
à Saúde. Departamento de Atenção Básica. Guia alimentar
para a População Brasileira. Brasília: Ministério da Saúde, 2014.
I- A partir da análise das respostas do professor, conclui-se que o seu consumo diário de fibras equivale a três porções e está abaixo do recomendado para estes tipos de alimento.
PORQUE
II- Entre os alimentos listados na resposta do professor, aqueles ricos em fibras são as frutas e as verduras, sendo consumidos, respectivamente, nas quantidades de 2 e 1 porções diárias.
A respeito dessas asserções, assinale a opção CORRETA.
Provas
Questão presente nas seguintes provas
TEXTO II
O Ministério da Saúde publicou uma versão do Guia Alimentar para a População Brasileira, na qual, a pessoa que lê vai respondendo
perguntas específicas acerca dos seus hábitos alimentares. A partir das respostas dadas, a pessoa é levada a uma reflexão sobre o que
deve fazer para ter uma vida mais saudável. Entre outras recomendações, o guia indica o consumo diário de: 6 porções de arroz, pães,
bolos sem recheio, biscoitos sem recheio, massas, batata e mandioca; 3 porções de verduras e legumes; 3 porções de frutas.
Um professor respondeu à pergunta “Qual a quantidade, em média, que você consome por dia dos alimentos listados abaixo?” da
seguinte forma:
a - Arroz, milho e outros cereais: 06 colheres de sopa.
b - Pães e bolos sem recheio: 03 unidades e 02 fatias respectivamente.
c - Frutas: 2 fatias.
d - Verduras: 6 unidades.
Para calcular o número de porções consumidas, deve-se seguir a figura abaixo.

Fonte adaptada de: BRASIL. Ministério da Saúde. Secretaria de
Atenção
à Saúde. Departamento de Atenção Básica. Guia alimentar
para a População Brasileira. Brasília: Ministério da Saúde, 2014.
I- O professor consumiu, ao todo, 10 porções dos alimentos listados.
II- O grupo dos alimentos considerados cereais e derivados é o mais consumido pelo professor, com um total de 6 porções.
III- A quantidade de alimentos consumidos do grupo “arroz, pães, bolos sem recheio, biscoitos sem recheio, massas, batata e mandioca” está dentro do recomendado.
IV- O grupo de alimentos mais consumidos pelo professor é rico em fontes importantes de carboidratos, fibras, vitaminas e minerais.
É CORRETO o que se afirma apenas em:
Provas
Questão presente nas seguintes provas
Em uma aula sobre biotecnologia, a professora apresentou as ideias básicas de um transplante (remoção de células, tecidos ou órgãos
vivos, em funcionamento de um organismo para ele mesmo ou para um organismo diferente) e em seguida, apresentou a técnica de
xenotransplantes, que permite transplantes entre diferentes espécies de animais, como por exemplo, de porcos para seres humanos.
Considerando estas informações, analise as asserções a seguir e a relação entre elas.
I- A professora precisa apresentar os conceitos relacionados ao funcionamento do sistema imunológico para que discentes consigam compreender os possíveis problemas desta técnica.
PORQUE
II- O sistema imunológico ataca organismos invasores, como infecções por vírus, e tecidos estranhos ao organismo, como acontece em casos de órgãos transplantados entre diferentes espécies de animais.
A respeito dessas asserções, assinale a opção CORRETA.
Considerando estas informações, analise as asserções a seguir e a relação entre elas.
I- A professora precisa apresentar os conceitos relacionados ao funcionamento do sistema imunológico para que discentes consigam compreender os possíveis problemas desta técnica.
PORQUE
II- O sistema imunológico ataca organismos invasores, como infecções por vírus, e tecidos estranhos ao organismo, como acontece em casos de órgãos transplantados entre diferentes espécies de animais.
A respeito dessas asserções, assinale a opção CORRETA.
Provas
Questão presente nas seguintes provas
A Base Nacional Comum Curricular (BNCC) propõe, para o oitavo ano, uma habilidade na qual estudantes devem ser capazes de
calcular o consumo de eletrodomésticos a partir dos hábitos de uso e dos dados descritos nos equipamentos. Para desenvolver esta
habilidade discente, é imprescindível saber que este cálculo do consumo de energia elétrica é feito a partir dos dados:
Provas
Questão presente nas seguintes provas
Cadernos
Caderno Container