Magna Concursos

Foram encontradas 280 questões.

Um determinado Município publica dois editais de licitação, nos termos da Lei 8.666, de 21 de junho de 1993:

1º) Para a escolha de uma pintura a ser colocada no saguão da prefeitura.

2º) Para a venda de 200 cadeiras sem utilidade para a Administração Municipal.

As modalidades de licitação devem ser, respectivamente,

 

Provas

Questão presente nas seguintes provas

Assinale V para as alternativas VERDADEIRAS e F para as FALSAS:

( ) Poder disciplinar é o que cabe à Administração Pública para apurar infrações e aplicar penalidades aos servidores públicos e demais pessoas sujeitas à disciplina administrativa.

( ) Os poderes da Administração são faculdades da Administração Pública e são, portanto, renunciáveis.

( ) Poder de polícia é a atividade do Estado consistente em limitar o exercício dos direitos individuais em benefício do interesse público.

( ) O poder regulamentar pode ser definido como o que cabe ao Chefe do Poder Executivo – da União, dos Estados e dos Municípios – de editar normas complementares à lei, para sua fiel execução.

A sequência CORRETA é:

 

Provas

Questão presente nas seguintes provas

Relacione os princípios aos seus conceitos:

(1) Princípio da Legalidade

(2) Princípio da Impessoalidade

(3) Princípio da Moralidade Administrativa

(4) Princípio da Publicidade

(5) Princípio da Eficiência

(A) Tal princípio exige a ampla divulgação dos atos praticados pela Administração Pública, ressalvadas as hipóteses de sigilo previstas em lei.

(B) É o princípio que impõe a todo agente público o dever de realizar suas atribuições com presteza, perfeição e rendimento funcional. É o princípio que corresponde ao dever da boa administração.

(C) Esse princípio constitui uma das principais garantias de respeito aos direitos individuais porque a lei define e estabelece os limites da atuação administrativa que tenha por objeto a restrição ao exercício de referidos direitos individuais em benefício da coletividade.

(D) Princípio que exige da Administração Pública uma atuação segundo padrões éticos de probidade, decoro e boa-fé.

(E) Princípio que exige objetividade no atendimento do interesse público, vedada a promoção pessoal de agentes ou autoridades.

A correspondência CORRETA é:

 

Provas

Questão presente nas seguintes provas

O modelo gerencial de administração pública adota a descentralização como instrumento de organização e execução de políticas públicas, em busca de melhor governança.

Nesse contexto, analise as afirmativas a seguir:

I. A administração gerencial adota forma de atuação descentralizada e baseada no controle por resultados.

II. A administração pública gerencial adota um modelo rígido de processos com o intuito de combater o nepotismo e a corrupção.

III. A descentralização administrativa se refere à transferência dos poderes de decisão a entes administrativos que não possuem personalidade jurídica própria.

IV. A descentralização pode ser feita através da outorga, quando o Estado cria uma entidade e a ela transfere a execução de serviço público; ou delegação, quando, através de contrato ou ato unilateral, transfere a execução de determinado serviço a entidade particular.

V. A governança faz referência à capacidade de um governo de executar as decisões tomadas. O modelo gerencial tem a governança como referencial ao focar na avaliação de resultados das políticas públicas e não nos processos.

Sobre o modelo gerencial de administração pública, governança e descentralização, é CORRETO apenas o que se afirma em

 

Provas

Questão presente nas seguintes provas

Leia com atenção o texto abaixo e faça o que se pede:

Durante a vigência dos Estados Absolutistas, o modelo administrativo _________________ não fazia distinção entre os recursos do monarca e os recursos públicos. Os _________________ não eram distribuídos de acordo com competências, mas como uma espécie de recompensa ou moeda de troca que os monarcas concediam de acordo com sua vontade gerando ineficácia e nepotismo.

A partir das conquistas políticas dos séculos XVIII e XIX, um novo modelo se fez necessário. O ____________________ nasce na segunda metade do século XIX, pregando o princípio da profissionalização dos cargos administrativos, assim como a impessoalidade, o controle formal dos processos administrativos e a hierarquia formal. Ao longo do século XX, tal modelo se tornou inadequado por não mais corresponder aos interesses da população. A solução veio com a _______________________ , que introduz o modelo de ________________________________, orientada não mais por processos, mas por _________________.

Assinale a alternativa que completa CORRETAMENTE as lacunas desse texto:

 

Provas

Questão presente nas seguintes provas

Leia atentamente o texto abaixo:

"As profundas transformações ocorridas no mundo após a Segunda Guerra Mundial contribuíram de forma decisiva para acelerar o nível de maturidade político-econômico-social dos governos e das sociedades, especialmente a partir da década de 1970. [...] Cresceram as atribuições dos governos, a complexidade de suas ações e as demandas pelos seus serviços. O processo de globalização econômica, por sua vez, também foi impulsionado, tornando-se fator indutor de mudanças de toda ordem: tecnológicas, econômicas, sociais, culturais e políticas. Inúmeros países começaram a abrir as suas economias, o nível de educação elevou-se, assim como o acesso às informações."

(PEREIRA, José Matias. Curso de administração pública: Foco nas Instituições e Ações Governamentais. 3 ed. São Paulo: Atlas, 2010, p. 110. Adaptado)

Esse texto faz referência a qual fenômeno histórico da administração pública?

 

Provas

Questão presente nas seguintes provas
1227468 Ano: 2015
Disciplina: Estatística
Banca: FRAMINAS
Orgão: Pref. Belo Horizonte-MG
Determinada pesquisa tem como objetivo verificar se existe desigualdade salarial entre homens e mulheres com base em uma amostra de 1000 trabalhadores. Seja yi o salário mensal do trabalhador i, educi o número de anos de estudo do indivíduo i, agei a idade do indivíduo i e Di uma variável que assume valor 1 se o individuo i é homem e 0 se é mulher. A reta de regressão estimada é apresentada a seguir, e os respectivos desvios padrões de cada um dos parâmetros estimados estão entre parêntese:
enunciado 1227468-1
Considerando que, se Z tem distribuição normal padrão, então Pr(|Z|>1,645)=0,10 e Pr(|Z|>1,96)=0,05.
Com base no modelo apresentado acima é CORRETO o que se afirma em:
 

Provas

Questão presente nas seguintes provas
1227467 Ano: 2015
Disciplina: Matemática
Banca: FRAMINAS
Orgão: Pref. Belo Horizonte-MG
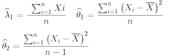
Sejam X, X2,…, Xn uma sequência de variáveis aleatórias independentes e identicamente distribuídas, com E(X₁)=λ e Var(X₁)=θ. Com base na amostra anterior, definem-se os estimadores a seguir.
enunciado 1227467-1

Para os estimadores acima, é CORRETO o que se afirma em:
 

Provas

Questão presente nas seguintes provas
1227466 Ano: 2015
Disciplina: Estatística
Banca: FRAMINAS
Orgão: Pref. Belo Horizonte-MG
Em determinado concurso, cada questão errada anula uma questão certa. Suponha que as notas obtidas pelos candidatos sejam normalmente distribuídas com média 0 e variância 4. Qual a probabilidade de que um aluno escolhido ao acaso obtenha nota maior que zero?
 

Provas

Questão presente nas seguintes provas
1227465 Ano: 2015
Disciplina: Estatística
Banca: FRAMINAS
Orgão: Pref. Belo Horizonte-MG
Seja X uma variável aleatória com distribuição exponencial, com função densidade de probabilidade dada por f(x)= λexp(-λx), para x≥0 e f(x)=0, para x<0. Com relação ao valor esperado e a variância de X, assinale a alternativa CORRETA:
 

Provas

Questão presente nas seguintes provas