Foram encontradas 285 questões.
INSTRUÇÃO: A questão refere-se ao texto seguinte.
Se a ciência é feita por humanos e eles falham, como confiar nela?
Provas
INSTRUÇÃO: A questão refere-se ao texto seguinte.
Se a ciência é feita por humanos e eles falham, como confiar nela?
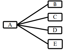
A hipótese científica deve ser bem formulada, cuidadosamente conduzida e nitidamente imparcial.
A = a hipótese científica B = deve ser C = bem formulada D = cuidadosamente conduzida E = nitidamente imparcial
Considerando que as setas representam relações sintáticas, assinale a alternativa que esquematiza CORRETAMENTE a estrutura do período. Desconsidere a ausência de maiúscula, de pontuação e da palavra “e”.
Provas
INSTRUÇÃO: A questão refere-se ao texto seguinte.
Se a ciência é feita por humanos e eles falham, como confiar nela?
Provas
INSTRUÇÃO: A questão refere-se ao texto seguinte.
Se a ciência é feita por humanos e eles falham, como confiar nela?
Provas
INSTRUÇÃO: A questão refere-se ao texto seguinte.
Se a ciência é feita por humanos e eles falham, como confiar nela?
Assinale a alternativa cuja lacuna deve ser CORRETAMENTE preenchida pela expressão grifada acima.
Provas
INSTRUÇÃO: A questão refere-se ao texto seguinte.
Se a ciência é feita por humanos e eles falham, como confiar nela?
Provas
INSTRUÇÃO: A questão refere-se ao texto seguinte.
Se a ciência é feita por humanos e eles falham, como confiar nela?
I. Os avaliadores não estão imunes a equívocos. II. Os trabalhos científicos são submetidos a uma revista. III. Os avaliadores não são capazes de apontar todos os erros. IV. Os cientistas são seres humanos passíveis de cometer erros. V. Os trabalhos científicos são avaliados por cientistas da área.
Assinale a alternativa em que essas orações se articulam num período cuja redação é clara, correta e coesa.
Provas
INSTRUÇÃO: A questão refere-se ao texto seguinte.
Se a ciência é feita por humanos e eles falham, como confiar nela?
Provas
INSTRUÇÃO: A questão refere-se ao texto seguinte.
Se a ciência é feita por humanos e eles falham, como confiar nela?
I. o modo como os resultados científicos são transmitidos interfere no comportamento dos cidadãos. II. uma hipótese bem formulada contribui para o desenvolvimento estratégico de uma dada pesquisa. III. as revistas científicas são uma garantia de que se faz ciência com ética, confiabilidade e qualidade. IV. a publicização de evidências científicas gera impactos nas tomadas de decisões governamentais.
É CORRETO o que se afirma apenas em
Provas
INSTRUÇÃO: A questão refere-se ao texto seguinte.
Se a ciência é feita por humanos e eles falham, como confiar nela?
Provas
Caderno Container