Magna Concursos

Foram encontradas 256 questões.

535622 Ano: 2019
Disciplina: Matemática
Banca: FURB
Orgão: Pref. Blumenau-SC
Provas:
Uma máquina leva 5 dias para produzir 120 peças, operando em um turno padrão de 12 horas por dia. Um novo pedido de 174 peças foi realizado e, iniciada a fabricação do pedido, depois de dois dias operando normalmente, verificou-se, ao iniciar o terceiro dia, que a máquina, por razões técnicas, deveria operar somente com 75% de sua capacidade. Pode-se afirmar, considerando a capacidade reduzida da máquina e que o turno de operação seja mantido, que o tempo ainda necessário, em dias, para que o pedido seja finalizado será de:
 

Provas

Questão presente nas seguintes provas
535621 Ano: 2019
Disciplina: Matemática
Banca: FURB
Orgão: Pref. Blumenau-SC
Provas:
Um equipamento tem a depreciação do seu valor modelada pela função V(x) = 8000 . 2-0,1.x , na qual V representa o valor do equipamento em reais e x o tempo de utilização do equipamento a partir da sua compra (em anos). Pode-se afirmar que houve uma desvalorização de 50% no valor do equipamento, em relação ao valor no momento da compra, após um período de uso, em anos, de:
 

Provas

Questão presente nas seguintes provas
535620 Ano: 2019
Disciplina: Matemática
Banca: FURB
Orgão: Pref. Blumenau-SC
Provas:
Pode-se afirmar que o resultado da divisão de z1 por z2, sendo z1 = 2i + 3 e z2 = i + k é um número complexo imaginário puro se o valor de k for igual a:
 

Provas

Questão presente nas seguintes provas
535619 Ano: 2019
Disciplina: Matemática
Banca: FURB
Orgão: Pref. Blumenau-SC
Provas:

Em uma loja de vestuário, duas promoções estão anunciadas:


• Promoção A: compre 3 vestidos, e pague 2 (não será pago o de menor valor)
• Promoção B: na compra de 5 vestidos, ganhe 15% de desconto no valor total

Ana decidiu comprar 5 vestidos, cujos valores indicados nas etiquetas eram de R$ 120,00, R$ 180,00, R$ 90,00, R$ 160,00 e R$ 230,00. No momento do pagamento, ela foi informada que deveria escolher por uma das duas promoções e acabou optando pelo pagamento considerando a Promoção A. Ela escolheu, de forma conveniente, três vestidos para pagar de acordo com a promoção e dois sem promoção. Pode-se afirmar que a escolha de Ana gerou uma economia a ela, em relação à escolha pela Promoção B, em reais, de:

 

Provas

Questão presente nas seguintes provas
535618 Ano: 2019
Disciplina: Matemática
Banca: FURB
Orgão: Pref. Blumenau-SC
Provas:
Considere as seguintes informações:
I- Todo triângulo regular tem apenas ângulos internos agudos. II- Um triângulo isósceles pode ter um ângulo interno reto. III- É possível construir um triângulo com a medida de seus lados 3, 4 e 8 cm. IV- Um triângulo retângulo pode ter um ângulo interno obtuso.
Pode-se afirmar que são corretas:
 

Provas

Questão presente nas seguintes provas
535617 Ano: 2019
Disciplina: Matemática
Banca: FURB
Orgão: Pref. Blumenau-SC
Provas:
Em determinado município, para realizar atendimento domiciliar de famílias carentes para cadastramento, foi estabelecido que no primeiro mês serão atendidas 150 famílias e a cada mês seguinte o número de atendimentos será de 10 famílias a menos que no mês anterior. Considerando que cada família será atendida uma única vez e que o atendimento será encerrado quando pelo menos 1140 famílias forem visitadas, pode-se afirmar que o tempo mínimo necessário, em meses, será de:
 

Provas

Questão presente nas seguintes provas
535616 Ano: 2019
Disciplina: Estatística
Banca: FURB
Orgão: Pref. Blumenau-SC
Provas:
A tabela a seguir apresenta o salário dos funcionários de uma empresa, de acordo com o cargo que ocupam:
enunciado 535616-1

Considerando que o quadro de funcionários seja composto por 3 gerentes, 6 técnicos, 2 auxiliares e 2 administrativos, pode-se afirmar que o salário de cada gerente é maior que média salarial da empresa, em reais, de:
 

Provas

Questão presente nas seguintes provas
535615 Ano: 2019
Disciplina: Matemática
Banca: FURB
Orgão: Pref. Blumenau-SC
Provas:

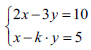
Dado o seguinte sistema linear enunciado 535615-1 pode-se afirmar que este pode ser classificado como possível e indeterminado se o valor de k for igual a:

 

Provas

Questão presente nas seguintes provas
535614 Ano: 2019
Disciplina: Matemática
Banca: FURB
Orgão: Pref. Blumenau-SC
Provas:

Dada a figura a seguir, considere o retângulo com medidas de lado igual a 3 cm e 4 cm.

enunciado 535614-1

Pode-se afirmar que a área (em cm2 ) marcada na figura é um valor entre:

 

Provas

Questão presente nas seguintes provas
535613 Ano: 2019
Disciplina: Estatística
Banca: FURB
Orgão: Pref. Blumenau-SC
Provas:

Considere o gráfico apresentado:

enunciado 535613-1

Pode-se afirmar que o gráfico representa uma função:

 

Provas

Questão presente nas seguintes provas