Foram encontradas 815 questões.
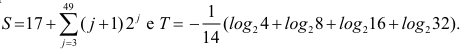
O professor de Matemática, Paulo, em uma atividade de acolhimento do terceiro ano
do Ensino Médio, pediu aos meninos para calcular o valor de S e às meninas, o valor de T, em que:
É CORRETO afirmar que o valor de + é igual a:
É CORRETO afirmar que o valor de + é igual a:
Provas
Questão presente nas seguintes provas
Uma área de esporte possui o formato de um hexágono regular, o qual possui como
vértices os pontos A, B, C, D, E e F, respectivamente. Se a área do hexágono regular é
representada por S, M é o ponto médio do segmento BC e AM ∩ BE = {Q}. Então, é
CORRETO afirmar que a área do triângulo AQO (em que O é o centro da
circunferência circunscrita ao hexágono regular) em função da área do hexágono
regular é igual a:
Provas
Questão presente nas seguintes provas
Denotando por P1 , P2 , ... , P12 doze pontos de um plano, se cinco desses pontos são colineares, então é CORRETO afirmar que o número total de pentágonos que
podemos construir com esses 12 pontos é igual a:
Provas
Questão presente nas seguintes provas
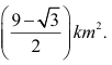
Uma caixa d'água possui o formato de um octaedro regular. O referido octaedro
regular é formado quando se unem os pontos médios das arestas de um tetraedro
regular de altura 2√6 m. Quanto será gasto para encher totalmente a caixa d'água,
considerando que 1m³ de água custa R$ 25,00 e que
= 1,41?
Provas
Questão presente nas seguintes provas
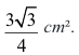
Um agricultor possui um sítio de 3 km de cumprimento e 1 km de largura. Ele deseja km km
fazer uma plantação de laranjas na área compreendida pelo polígono ABDE, a qual
vamos denotar por [S].
Então, é CORRETO afirmar que a área [S] que será plantada é igual a:
Então, é CORRETO afirmar que a área [S] que será plantada é igual a:
Provas
Questão presente nas seguintes provas
Se é a solução da equação 2x + 4x = 8x e é a solução da equação
![]()
Então, é CORRETO afirmar que x + y é igual a:
Provas
Questão presente nas seguintes provas
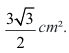
Uma maquete de um parque possui a forma de um triângulo ABC. Sabe-se que um
ponto do plano P = (a , b) pode ser identificado com o número complexo z = a + bi. Usando esse fato, se os vértices do triângulo ABC são identificados com as raízes
cúbicas da unidade, isto é, z³ = 1, com z ∈ ℂ, é CORRETO afirmar que a área do parque (que é igual à área do triângulo ABC) em centímetros quadrados
representada pela maquete é igual a:
Provas
Questão presente nas seguintes provas
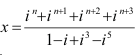
Sejam 
![]()
Provas
Questão presente nas seguintes provas
Usando a notação
para indicar o número
, na base 10, em que x ∈ {1, 2, ... , 9} e y, z ∈, {0, 1, 2, ... , 9}. Se
= 37 (a + b + c), em que
b = 9 e c > 2. É CORRETO afirmar que a + b – c é igual a:
Provas
Questão presente nas seguintes provas
Um homem encontra-se na margem direita de um rio e sua localização em relação a
um sistema cartesiano ortogonal é dada pelo ponto P = (100, 150). Se a margem esquerda do rio é representada pela equação da reta 4x + 3y + 100 = 0, então é CORRETO afirmar que a distância calculada em metros do homem que está
localizado no ponto P até a margem esquerda do rio é igual a:
Provas
Questão presente nas seguintes provas
Cadernos
Caderno Container