Foram encontradas 387 questões.
A avaliação fisioterapêutica, na área da saúde da mulher, é composta por entrevista, exame físico e exames complementares. O exame físico envolve o
exame das estruturas do assoalho pélvico; para tal, deve-se utilizar testes e medidas padronizadas que sejam válidos e confiáveis para documentar os desfechos da intervenção fisioterapêutica.
Considerando a avaliação do assoalho pélvico feminino, analise as afirmações a seguir:
I. A Escala de Oxford Modificada é utilizada para avaliar a força muscular do assoalho pélvico por meio da palpação vaginal.
II. A manometria vaginal permite registrar o valor da pressão vaginal gerada pelos músculos do assoalho pélvico durante sua contração.
III. A eletromiografia de superfície é uma medida direta da força muscular dos músculos do assoalho pélvico.
IV. As técnicas de ultrassom têm o objetivo de avaliar as estruturas que compõem o assoalho pélvico e, por meio do deslocamento e volume destas, documentar, de forma indireta, as funções musculares do assoalho pélvico.
É CORRETO apenas o que se afirma em:
Considerando a avaliação do assoalho pélvico feminino, analise as afirmações a seguir:
I. A Escala de Oxford Modificada é utilizada para avaliar a força muscular do assoalho pélvico por meio da palpação vaginal.
II. A manometria vaginal permite registrar o valor da pressão vaginal gerada pelos músculos do assoalho pélvico durante sua contração.
III. A eletromiografia de superfície é uma medida direta da força muscular dos músculos do assoalho pélvico.
IV. As técnicas de ultrassom têm o objetivo de avaliar as estruturas que compõem o assoalho pélvico e, por meio do deslocamento e volume destas, documentar, de forma indireta, as funções musculares do assoalho pélvico.
É CORRETO apenas o que se afirma em:
Provas
Questão presente nas seguintes provas
Homem, 62 anos, porteiro, hemiparético à esquerda devido a Acidente Vascular
Cerebral (AVC) no hemisfério direito ocorrido há 2 meses. Chegou ao setor de
fisioterapia andando com uma bengala simples e fazendo uso de uma órtese
curta. Durante a marcha, observou-se um padrão de circundução do membro
inferior esquerdo, com esforço físico moderado e uma insegurança frente ao
risco de queda. Ao exame físico, foram observadas fraqueza muscular moderada e espasticidade nos flexores de punho e nos flexores plantares do hemicorpo esquerdo e ausência de déficit cognitivo. A esposa relatou que o paciente
se sentia triste, pois parou de trabalhar e não conseguia mais ir ao culto da igreja
devido à presença de escadas para acessar a rua de sua casa.
Considerando o caso clínico descrito acima, avalie as afirmações a seguir a respeito da avaliação neurofuncional baseada na Classificação Internacional de Funcionalidade, Incapacidade e Saúde (CIF):
I. Deve-se utilizar o teste de Sentar e Levantar 5 (cinco) vezes para avaliar o domínio Função Corporal, pois permite avaliar a força e a resistência dos membros inferiores.
II. A fim de avaliar o componente Participação, o Teste de Caminhada de 6 (seis) minutos é indicado para mensurar os parâmetros espaço-temporais da marcha, identificando as dificuldades que o paciente enfrenta devido ao AVC.
III. Para avaliação do domínio Atividade, pode-se utilizar a escala de equilíbrio de Berg para detectar os problemas de equilíbrio e o teste levantar e caminhar (Timed Get Up –TUG) que avalia a relação entre mobilidade e equilíbrio dinâmico.
IV. Dentro do domínio Participação, deve-se utilizar algum instrumento que avalia a qualidade de vida, por aproximar o papel da reabilitação à vida real do paciente, incluindo sua rotina, trabalho e família.
É CORRETO o que se afirma em:
Considerando o caso clínico descrito acima, avalie as afirmações a seguir a respeito da avaliação neurofuncional baseada na Classificação Internacional de Funcionalidade, Incapacidade e Saúde (CIF):
I. Deve-se utilizar o teste de Sentar e Levantar 5 (cinco) vezes para avaliar o domínio Função Corporal, pois permite avaliar a força e a resistência dos membros inferiores.
II. A fim de avaliar o componente Participação, o Teste de Caminhada de 6 (seis) minutos é indicado para mensurar os parâmetros espaço-temporais da marcha, identificando as dificuldades que o paciente enfrenta devido ao AVC.
III. Para avaliação do domínio Atividade, pode-se utilizar a escala de equilíbrio de Berg para detectar os problemas de equilíbrio e o teste levantar e caminhar (Timed Get Up –TUG) que avalia a relação entre mobilidade e equilíbrio dinâmico.
IV. Dentro do domínio Participação, deve-se utilizar algum instrumento que avalia a qualidade de vida, por aproximar o papel da reabilitação à vida real do paciente, incluindo sua rotina, trabalho e família.
É CORRETO o que se afirma em:
Provas
Questão presente nas seguintes provas
Uma criança de 4 anos de idade, com diagnóstico de Paralisia Cerebral (PC),
faz uso de óculos e apresenta um estrabismo convergente; não apresenta convulsões e um cognitivo bom. A criança apresenta espasticidade em tríceps surais e isquiossurais, quadris fletidos, joelhos fletidos e pés em flexão plantar.
Realiza todas as transferências de posturas; deambula; apresenta dificuldade
em subir escadas e correr; adora cantar; brincar com objetos de encaixe e não
participa da educação física, pois não consegue acompanhar os colegas.
Considerando esse contexto e de acordo com a Classificação Internacional de Funcionalidade (CIF) avalie as afirmações a seguir:
I. Exemplos de atividades funcionais limitadas na criança: dificuldade em subir escadas e correr
II. Dentro do domínio estrutura e função do corpo a criança apresenta flexão de quadris e joelhos
III. Trata-se de um caso de hemiparesia espástica à esquerda com habilidade global para manipular objetos compatível com o nível IV da escala MACS (Manual Ability Classification System), o que vai limitar a participação social da criança
IV. A criança apresenta limitação em estrutura e função e restrição na participação social
É CORRETO apenas o que se afirma em:
Considerando esse contexto e de acordo com a Classificação Internacional de Funcionalidade (CIF) avalie as afirmações a seguir:
I. Exemplos de atividades funcionais limitadas na criança: dificuldade em subir escadas e correr
II. Dentro do domínio estrutura e função do corpo a criança apresenta flexão de quadris e joelhos
III. Trata-se de um caso de hemiparesia espástica à esquerda com habilidade global para manipular objetos compatível com o nível IV da escala MACS (Manual Ability Classification System), o que vai limitar a participação social da criança
IV. A criança apresenta limitação em estrutura e função e restrição na participação social
É CORRETO apenas o que se afirma em:
Provas
Questão presente nas seguintes provas
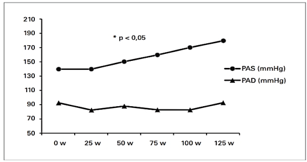
A figura abaixo mostra os valores medianos de pressão arterial sistólica (PAS)
e pressão arterial diastólica (PAD) obtidos de cinco jovens saudáveis durante a
realização de protocolo de esforço (intensidade) crescente contínuo, feito em
bicicleta ergométrica.
PASCHOAL, M. A. Fisioterapia cardiovascular: avaliação e conduta na reabilitação cardíaca. Barueri: Manole, 2010 (adaptado).
Com base nas informações da figura e nos conhecimentos acerca do comportamento da pressão arterial durante exercícios físicos dinâmicos, avalie as afirmações a seguir:
I. Elevações da pressão arterial diastólica (PAD) a valores acima de 15 mmHg são preocupantes e indicam presença de anormalidades, sendo, inclusive, um dos fatores para interrupção de protocolos de avaliação diagnóstica ou protocolos de tratamento.
II. Quando o exercício físico é estável, ou seja, realizado sem variações de intensidade, mas com um consumo de oxigênio maior do que no início da atividade, espera-se uma elevação da pressão arterial sistólica (PAS) em relação ao valor de repouso, seguida de uma estabilização após alguns minutos.
III. É fisiológico ocorrer hipotensão arterial pós-esforço devido a fatores que reduzem a resistência vascular periférica, o que torna os exercícios físicos dinâmicos uma boa opção terapêutica para indivíduos hipertensos.
É CORRETO o que se afirma em:
PASCHOAL, M. A. Fisioterapia cardiovascular: avaliação e conduta na reabilitação cardíaca. Barueri: Manole, 2010 (adaptado).
Com base nas informações da figura e nos conhecimentos acerca do comportamento da pressão arterial durante exercícios físicos dinâmicos, avalie as afirmações a seguir:
I. Elevações da pressão arterial diastólica (PAD) a valores acima de 15 mmHg são preocupantes e indicam presença de anormalidades, sendo, inclusive, um dos fatores para interrupção de protocolos de avaliação diagnóstica ou protocolos de tratamento.
II. Quando o exercício físico é estável, ou seja, realizado sem variações de intensidade, mas com um consumo de oxigênio maior do que no início da atividade, espera-se uma elevação da pressão arterial sistólica (PAS) em relação ao valor de repouso, seguida de uma estabilização após alguns minutos.
III. É fisiológico ocorrer hipotensão arterial pós-esforço devido a fatores que reduzem a resistência vascular periférica, o que torna os exercícios físicos dinâmicos uma boa opção terapêutica para indivíduos hipertensos.
É CORRETO o que se afirma em:
Provas
Questão presente nas seguintes provas
Existem recursos de tratamento fisioterapêutico respiratório que podem ser utilizados com objetivo de aumentar os níveis de oxigenação nos tecidos.
Analise as afirmativas a seguir:
I) Aparelhos que usam a PEEP (positive end expiratory pressure ou pressão positiva expiratória final) aumentam a oxigenação por promoverem pressão positiva no final da expiração, proporcionando maior abertura alveolar.
II) Os aparelhos que produzem oscilações de alta frequência promovem melhora na oxigenação ao aumentar o volume pulmonar e otimizar as trocas gasosas.
III) Treinadores musculares inspiratórios aumentam a oxigenação por proporcionarem pressão alveolar positiva durante a inspiração.
Assinale a opção CORRETA que explique o mecanismo de aumento da oxigenação pulmonar:
Analise as afirmativas a seguir:
I) Aparelhos que usam a PEEP (positive end expiratory pressure ou pressão positiva expiratória final) aumentam a oxigenação por promoverem pressão positiva no final da expiração, proporcionando maior abertura alveolar.
II) Os aparelhos que produzem oscilações de alta frequência promovem melhora na oxigenação ao aumentar o volume pulmonar e otimizar as trocas gasosas.
III) Treinadores musculares inspiratórios aumentam a oxigenação por proporcionarem pressão alveolar positiva durante a inspiração.
Assinale a opção CORRETA que explique o mecanismo de aumento da oxigenação pulmonar:
Provas
Questão presente nas seguintes provas
Paciente admitido na UTI com quadro de insuficiência respiratória aguda tipo I,
necessitando de ventilação mecânica invasiva prolongada. Após a estabilização
do quadro, o fisioterapeuta inicia o processo de desmame da ventilação mecânica.
Diante do exposto, quais são as estratégias ventilatórias e de fisioterapia mais adequadas para o manejo desse paciente durante o processo de desmame da ventilação mecânica?
Diante do exposto, quais são as estratégias ventilatórias e de fisioterapia mais adequadas para o manejo desse paciente durante o processo de desmame da ventilação mecânica?
Provas
Questão presente nas seguintes provas
Paciente, 22 anos, chega ao setor de fisioterapia relatando cefaleia na região
occipital, com limitação dolorosa de movimentos do pescoço, principalmente flexão e extensão, sendo que estes movimentos alteram a cefaleia.
O exame postural revelou projeção da cabeça para frente, dentre outras alterações, que condizem com a chamada “síndrome cruzada posterior”, descrita por Janda (1994). Nela, os músculos occipitais apresentam-se encurtados, bem como os peitorais maior e menor, juntamente com a porção superior dos trapézios e levantador da escápula.
Em oposição a esses músculos encurtados, encontram-se fracos os flexores profundos do pescoço, romboides, serráteis anteriores e, frequentemente, a porção inferior dos trapézios.
A imagem abaixo ilustra esse padrão postural:
Fonte: Magee, D. J., 2010.
A partir das informações apresentadas, analise as afirmativas abaixo e, a seguir, marque a opção que corresponde às correlações propostas:
I) Espera-se, pelos dados apresentados, que a mobilidade do segmento C1-C2 seja a mais comprometida neste indivíduo.
II) Espera-se, pelos dados apresentados, que a mobilidade do segmento C0-C1 seja a mais comprometida neste indivíduo.
III) Espera-se encontrar dor ou outra alteração de sensibilidade na área suboccipital.
IV) Os sintomas apresentados coincidem com a compressão da raiz de C2.
Estão CORRETOS apenas os itens:
O exame postural revelou projeção da cabeça para frente, dentre outras alterações, que condizem com a chamada “síndrome cruzada posterior”, descrita por Janda (1994). Nela, os músculos occipitais apresentam-se encurtados, bem como os peitorais maior e menor, juntamente com a porção superior dos trapézios e levantador da escápula.
Em oposição a esses músculos encurtados, encontram-se fracos os flexores profundos do pescoço, romboides, serráteis anteriores e, frequentemente, a porção inferior dos trapézios.
A imagem abaixo ilustra esse padrão postural:
Fonte: Magee, D. J., 2010.
A partir das informações apresentadas, analise as afirmativas abaixo e, a seguir, marque a opção que corresponde às correlações propostas:
I) Espera-se, pelos dados apresentados, que a mobilidade do segmento C1-C2 seja a mais comprometida neste indivíduo.
II) Espera-se, pelos dados apresentados, que a mobilidade do segmento C0-C1 seja a mais comprometida neste indivíduo.
III) Espera-se encontrar dor ou outra alteração de sensibilidade na área suboccipital.
IV) Os sintomas apresentados coincidem com a compressão da raiz de C2.
Estão CORRETOS apenas os itens:
Provas
Questão presente nas seguintes provas
Durante um atendimento de fisioterapia, o paciente informa ao fisioterapeuta
que deseja interromper o tratamento, apesar de confiar no profissional, ter simpatia por ele e reconhecer sua competência.
Considerando que o fisioterapeuta tem o dever ético de zelar pela saúde do paciente, como ele deve proceder de acordo com o Código de Ética da Fisioterapia (Resolução nº 424, de 8 de julho de 2013 – D.O.U. nº 147, Seção 1, de 1º de agosto de 2013)?
Considerando que o fisioterapeuta tem o dever ético de zelar pela saúde do paciente, como ele deve proceder de acordo com o Código de Ética da Fisioterapia (Resolução nº 424, de 8 de julho de 2013 – D.O.U. nº 147, Seção 1, de 1º de agosto de 2013)?
Provas
Questão presente nas seguintes provas
Uma determinada via X de administração de medicamentos foi escolhida com
base em suas vantagens e desvantagens de uso. Como vantagens, a via X promove a absorção rápida de substâncias lipossolúveis e reduz a biotransformação do princípio ativo pelo fígado, por atingir diretamente a circulação sistêmica.
Como desvantagens, a via X é considerada imprópria para ser utilizada quando
o princípio ativo administrado apresenta sabor desagradável.
Pode-se, então, afirmar que a via X se refere à via:
Pode-se, então, afirmar que a via X se refere à via:
Provas
Questão presente nas seguintes provas
De acordo com a Classificação de Resíduos de Serviços de Saúde estabelecida
pela ANVISA, por meio da RDC Nº 222/2018, fazem parte do grupo A os resíduos com a possível presença de agentes biológicos que, por suas características, podem apresentar risco de infecção. Por sua variedade, os resíduos do
grupo A foram ainda classificados em subgrupos A1, A2, A3, A4 e A5. Assinale
a alternativa que corresponde a resíduos do subgrupo A2:
Provas
Questão presente nas seguintes provas
Cadernos
Caderno Container