Magna Concursos

Foram encontradas 150 questões.

2612575 Ano: 2022
Disciplina: Administração de Recursos Materiais
Banca: Unoesc
Orgão: Pref. Maravilha-SC
Provas:
Chiavenato (2022) salienta que, na Administração de Materiais (AM), os materiais constituem os insumos básicos para que o processo produtivo possa transformá-los, desta forma, a classificação de materiais mais comum é
I. Matéria prima e materiais em processamento.
II. Materiais para reciclagem.
III. Materiais acabados ou componentes.
IV. Produtos acabados.
É correto o que se afirma em
 

Provas

Questão presente nas seguintes provas
2612574 Ano: 2022
Disciplina: Química
Banca: Unoesc
Orgão: Pref. Maravilha-SC
Provas:
Analise as assertivas abaixo e marque a alternativa que corresponde aos métodos de separação de misturas heterogêneas.
I. Catação e peneiração. II. Filtração e decantação. III. Destilação fracionada e evaporação.
Marque a alternativa que corresponde, somente aos métodos de separação de misturas heterogêneas:
 

Provas

Questão presente nas seguintes provas
2612573 Ano: 2022
Disciplina: Química
Banca: Unoesc
Orgão: Pref. Maravilha-SC
Provas:
A respeito da classificação periódica dos elementos, quem foi o químico russo (1834-1907), criador da primeira versão da tabela periódica dos elementos químicos? Ele previu as propriedades dos elementos, que ainda não haviam sido descobertas e acreditava que existia uma relação íntima, entre a massa atômica e as propriedades químicas dos elementos. Qual é o nome desse pesquisador?
 

Provas

Questão presente nas seguintes provas
2612572 Ano: 2022
Disciplina: TI - Desenvolvimento de Sistemas
Banca: Unoesc
Orgão: Pref. Maravilha-SC
Provas:
Uma boa prática na área de programação inclui a utilização de comentários nos códigos, para informar ou sinalizar alguma particularidade do código desenvolvido, ou até mesmo adicionar avisos ou notificações. Assinale a alternativa correta sobre como fazer um comentário em html.
 

Provas

Questão presente nas seguintes provas
2612570 Ano: 2022
Disciplina: TI - Desenvolvimento de Sistemas
Banca: Unoesc
Orgão: Pref. Maravilha-SC
Provas:
Sobre CSS3, assinale a alternativa que transforma em oblíquo o texto de hyperlinks quando se passa o cursor sobre eles:
 

Provas

Questão presente nas seguintes provas
2612569 Ano: 2022
Disciplina: TI - Desenvolvimento de Sistemas
Banca: Unoesc
Orgão: Pref. Maravilha-SC
Provas:
Dada a Classe em JavaScript abaixo, assinale a alternativa correta:
Enunciado 3566427-1
 

Provas

Questão presente nas seguintes provas
2612568 Ano: 2022
Disciplina: TI - Desenvolvimento de Sistemas
Banca: Unoesc
Orgão: Pref. Maravilha-SC
Provas:
Sobre funções construtoras e tratamentos de erros em JavaScript, considere o seguinte código abaixo:
Enunciado 3566426-1


Ao ser executado, assinale a alterativa correta sobre a resposta que esse código trará:
 

Provas

Questão presente nas seguintes provas
2612567 Ano: 2022
Disciplina: TI - Desenvolvimento de Sistemas
Banca: Unoesc
Orgão: Pref. Maravilha-SC
Provas:
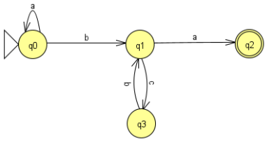
Dado o autômato Finito abaixo, assinale a alternativa onde a expressão regular (ER) o representa:
Enunciado 3566425-1
 

Provas

Questão presente nas seguintes provas
2612566 Ano: 2022
Disciplina: TI - Desenvolvimento de Sistemas
Banca: Unoesc
Orgão: Pref. Maravilha-SC
Provas:
O diagrama de casos de uso abaixo representa a interação entre o paciente e o médico em um ambiente clínico. O médico poderá marcar exames para o paciente, e este poderá apresentar os exames posteriormente.

Enunciado 3566424-1

No diagrama, uma relação (ou uma associação) está representada por A e deve ser preenchida por:
 

Provas

Questão presente nas seguintes provas
2612565 Ano: 2022
Disciplina: TI - Desenvolvimento de Sistemas
Banca: Unoesc
Orgão: Pref. Maravilha-SC
Provas:
Acerca de: “Pode-se considerar um algoritmo como uma ferramenta para resolver um problema computacional bem especificado. O enunciado do problema especifica em termos gerais a relação desejada entre entrada e saída”. (CORMEN at all. Algoritmos. 3ª Ed, Elsevier, 2012). Sobre a complexidade de tempo do algoritmo, analise o algoritmo abaixo e assinale a opção correta:
Enunciado 3566423-1
 

Provas

Questão presente nas seguintes provas