Foram encontradas 1.159 questões.
Uma das comunicações exercidas pela espécie humana se processa através da fala, condicionada ao sistema nervoso central. As pregas vocais estão localizadas à altura da região glótica na laringe. A voz é produzida, quando ocorre
Provas
Um morcego consegue capturar um inseto no vôo, mesmo estando em uma caverna escura, pouco ventilada e sinuosa. Ele emite sons e, através da eco-localização, chega mais facilmente à sua presa. Avaliando-se fisicamente esta condição, podemos afirmar que
Provas
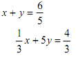
Dado um sistema de equação do primeiro grau na forma

Podemos afirmar que o produto dos valores de x e de y deste sistema é
Provas
Um dodecaedro é uma figura espacial que possui como uma de suas característica o fato de ter
Provas
Disciplina: Matemática Financeira
Banca: UPENET/IAUPE
Orgão: Pref. Paulista-PE
Uma empresa X possui 400 toneladas de grãos armazenados que necessitam ser transportados a um porto que fica distante do armazém de 200km. O transporte pode ser feito de trem ou caminhão. Para o trem, paga-se o valor de R$ 10,00 como sendo uma taxa fixa, mais R$ 0,03 por quilometragem vencida. Já o caminhão que possui uma capacidade que representa 5% do total de grãos armazenados tem valores bem distintos: R$ 200,00 de taxa fixa mais R$ 1,00 por quilometragem vencida. Nestas condições, podemos afirmar que a razão entre o custo de transporte dessas 400 toneladas de grãos no trem com relação ao caminhão é dado por:
Provas
Ao solicitar, oralmente, para uma criança escrever três mil setecentos e doze, ela escreve 3000710012. Apresentando o resultado aos professores, quatro alternativas se destacaram sobre as explicações, sob o ponto de vista da didática da matemática, ou seja, afirmaram que isto acontece porque a criança pensa o número:
1ª enquanto sistema posicional de base dez
2ª enquanto princípio multiplicativo
3ª enquanto agrupamentos de números
4ª de forma totalmente incompreensível
O número de alternativas correto é
Provas
- PPP: Projeto Político-PedagógicoPrincípios do PPPGestão Democrática no PPP
- Temas Educacionais Pedagógicos
Uma professora apresenta verbalmente o seguinte questionamento a seus alunos. Tinha 300 bolas de gude, mas dei 55 a meu irmão. Com quantas bolas fiquei? Imediatamente, um aluno diz à professora: "Se fosse cinqüenta, o resultado seria duzentos e cinqüenta, então é duzentos e quarenta e cinco".
Este procedimento de cálculo oral é conhecido por
Provas
Leia a estrofe abaixo e responda.

Nessa estrofe, o autor realizou a reiteração de determinadas construções e expressões lingüísticas, com o uso da mesma conjunção, para estabelecer a relação semântica entre as frases. Essa conjunção estabelece, entre as idéias relacionadas, um sentido de
Provas


Um dos mecanismos de coesão textual mais utilizados é a referência, permitindo que uma palavra faça referência à outra expressa anteriormente, retomando-a. Partindo desse princípio, é correto afirmar que
Provas
TEXTO V para responder a questão 28.

Levando em consideração a estrutura e a tipologia textual tanto a clássica quanto a baseada na intecionalidade, leia o TEXTO V "O Bicho", de Manuel de Bandeira e assinale a alternativa que indica o tipo de texto ao qual ele pertence.
Provas
Caderno Container