Foram encontradas 370 questões.
Provas
Fonte: MUNDO EDUCAÇÃO. Terceira Revolução Industrial: características e consequências. Mundo Educação. Disponível em: https://mundoeducacao.uol.com.br/geografia/terceira-revolucao-industrial.htm. Acesso em: 14 ago. 2025.
Assinale a alternativa que apresenta CORRETAMENTE apenas inovações e descobertas relacionadas à Revolução Técnico científica-informacional.
Provas
Disciplina: Atualidades e Conhecimentos Gerais
Banca: UEPB
Orgão: Pref. Pilõezinhos-PB
"Como características do agronegócio, podemos citar as médias e grandes propriedades rurais que conseguem alta produtividade em seus respectivos ramos de produção, tanto na agricultura quanto na pecuária. Na agricultura, é frequente a prática da monocultura, ou seja, a produção de um tipo de plantio apenas. (...) Nas últimas décadas, a produção alimentícia mundial vem aumentando consideravelmente, sendo capaz, de forma eficiente, de alimentar toda a população mundial, entretanto essa produção não atinge todos os lugares . (...) "A modernização agrícola eleva a produtividade, mas isso tem um custo ambiental muito caro. Os impactos ambientais " causados pelas práticas agropecuaristas em muitas regiões são praticamente irreversíveis".
Fonte: BRASIL ESCOLA. Agronegócio: o que é, características, setores. Brasil Escola. Disponível em: https://brasilescola.uol.com.br/geografia/agronegocio.htm.Acesso em: 13 ago. 2025. .
A partir da análise do texto, sobre as características do agronegócio e considerando a realidade atual desta atividade econômica no Brasil, é CORRETO afirmar que:
Provas
“A sustentabilidade ambiental tem por objetivo garantir que as atividades humanas sejam realizadas de forma consciente, respeitando os limites da natureza, viabilizando sua capacidade de se regenerar e manter o equilíbrio natural.”
Fonte: RAÍZEN. Qual é a importância da sustentabilidade ambiental? Blog Raízen. Disponível em:https://www.raizen.com.br/blog/sustentabilidade-ambiental. Acesso em: 13 ago. 2025.
A partir da análise do texto, avalie as proposições a seguir:
I - A redução das emissões dos gases do efeito estufa, especialmente o dióxido de carbono, é uma ação importante para assegurar a sustentabilidade do meio ambiente em nosso planeta.
II - O aumento do consumo de fontes de energias não renováveis, derivadas de minerais fósseis, deve ser estimulada para assegurar o equilíbrio climático ambiental do planeta.
III - Reduzir, Reutilizar e Reciclar são um conjunto de práticas cujo objetivo é minimizar o impacto ambiental causado pelo desperdício de materiais e produtos provenientes de recursos naturais.
IV - Para reduzir o impacto ambiental produzido pelo lixo urbano, é necessário que a população aumente o consumo de produtos descartáveis e supérfluos, contribuindo assim com a coleta seletiva.
É CORRETO o que se afirma apenas em:
Provas
Disciplina: Atualidades e Conhecimentos Gerais
Banca: UEPB
Orgão: Pref. Pilõezinhos-PB
Provas
I- O produto de dois números inteiros iguais é sempre maior ou igual a zero.
II- Para o produto de dois números inteiros resultarem em zero, os dois devem ser iguais a zero.
III- O quociente entre dois números inteiros não nulos é inteiro, quando o primeiro número é múltiplo do segundo.
É CORRETO o que se afirma apenas em:
Provas

Provas
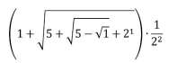
Marque a alternativa em que encontra-se o resultado da seguinte expressão numérica:

Provas
Provas
Provas
Caderno Container