Foram encontradas 136 questões.
2930403
Ano: 2023
Disciplina: Administração Financeira e Orçamentária
Banca: UniRV
Orgão: Pref. Rio Verde-GO
Disciplina: Administração Financeira e Orçamentária
Banca: UniRV
Orgão: Pref. Rio Verde-GO
Provas:
Em um contexto de gestão pública, a adoção de métodos e técnicas adequadas é essencial para garantir a
eficiência e transparência nos processos orçamentários. Considerando a importância do tema, identifique a
alternativa que corresponde a um método específico usado para alocar recursos em programas governamentais:
Provas
Questão presente nas seguintes provas
Considere que a sequência (x, 16, y, z) represente uma progressão aritmética (P.A.) e a sequência
(x + 1, 14, y + 2, z + 20) represente uma progressão geométrica (P.G.). Se todas as sequências forem
crescentes, podemos concluir que:
Provas
Questão presente nas seguintes provas
A população P de uma colônia de bactérias diminui ao longo do tempo t, medido em horas. Essa população é
modelada pela função P(t) = P0 ∙ e−kt, em que P0 representa a população inicial e k é uma constante positiva.
Se em três horas a população de bactérias diminui para um oitavo da população inicial, quantas horas serão
necessárias para que a população diminua para 25% da população inicial?
Provas
Questão presente nas seguintes provas
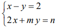
Um sistema linear é considerado impossível quando não possui solução, ou seja, não existe nenhum conjunto
de valores para as variáveis que satisfaça todas as equações do sistema simultaneamente. Dessa forma, se o
sistema
é impossível, os valores de m e n são tais que:
é impossível, os valores de m e n são tais que:Provas
Questão presente nas seguintes provas
Uma equipe de construção consegue erguer um muro de 40 metros de comprimento em 5 dias, utilizando 4
trabalhadores. Quantos trabalhadores adicionais de mesma capacidade que os primeiros devem ser contratados
para que a equipe seja capaz de construir um muro de 80 metros de comprimento em 4 dias?
Provas
Questão presente nas seguintes provas
Utilizando um pedaço de cartolina, Mariana confeccionou um cone equilátero, representado pela figura
abaixo.

O cone feito por Mariana possui uma área lateral de:

O cone feito por Mariana possui uma área lateral de:
Provas
Questão presente nas seguintes provas
Uma certa empresa paga diariamente pelos serviços prestados por seus funcionários, o que está representado no
quadro abaixo:

Com base nas informações do quadro, podemos afirmar que:

Com base nas informações do quadro, podemos afirmar que:
Provas
Questão presente nas seguintes provas
Imagine que você está interessado em comprar um videogame que custa R$ 1.800,00 à vista. No entanto, você
prefere parcelar o pagamento de acordo com as condições de três diferentes lojas da sua cidade:
• Loja X: Oferece um parcelamento em regime de juros simples de 2,6% ao mês, com uma entrada de 12% do valor do videogame e o restante dividido em 8 parcelas mensais iguais.
• Loja Y: Requer uma entrada de 18% do valor do videogame e o restante será parcelado em regime de juros compostos de 5% ao trimestre, em 12 parcelas mensais iguais.
• Loja Z: Não exige entrada, porém cobra um acréscimo de 17,8% sobre o preço à vista. O valor total, incluindo o acréscimo, deve ser pago em uma única parcela daqui a 60 dias.
• Loja X: Oferece um parcelamento em regime de juros simples de 2,6% ao mês, com uma entrada de 12% do valor do videogame e o restante dividido em 8 parcelas mensais iguais.
• Loja Y: Requer uma entrada de 18% do valor do videogame e o restante será parcelado em regime de juros compostos de 5% ao trimestre, em 12 parcelas mensais iguais.
• Loja Z: Não exige entrada, porém cobra um acréscimo de 17,8% sobre o preço à vista. O valor total, incluindo o acréscimo, deve ser pago em uma única parcela daqui a 60 dias.
Provas
Questão presente nas seguintes provas
Em uma loja de eletrônicos, há uma prateleira com 15 dispositivos, dos quais 3 são smartphones, 5 são laptops
e 7 são tablets. Suponha que um cliente entre na loja e decida escolher aleatoriamente dois dispositivos da
prateleira. Qual é a probabilidade aproximada de que os dispositivos escolhidos sejam do mesmo tipo?
Provas
Questão presente nas seguintes provas
Para muitos, o uso de containers no universo da construção civil tem grande aceitação e vem crescendo ao
longo dos anos, tanto no Brasil como em outros países. O motivo está nos pontos positivos dessa escolha,
relacionados com parâmetros como resistência, mobilidade e sustentabilidade. A figura a seguir apresenta as
dimensões de um container muito utilizado na construção civil atualmente. Pode-se afirmar que a área total
ocupada por um container desses é de aproximadamente:


Provas
Questão presente nas seguintes provas
Cadernos
Caderno Container