Magna Concursos

Foram encontradas 70 questões.

3993929 Ano: 2025
Disciplina: Raciocínio Lógico
Banca: FUNDATEC
Orgão: Pref. Sant'ana Livramento-RS
Provas:
Qual é a negação lógica da proposição composta “Rogério é estudante ou Mariana é trabalhadora”?
 

Provas

Questão presente nas seguintes provas
3993928 Ano: 2025
Disciplina: Matemática Financeira
Banca: FUNDATEC
Orgão: Pref. Sant'ana Livramento-RS
Provas:
Determine o valor de um capital para que os juros acumulados de uma aplicação, sob regime de juros simples, com duração de 18 meses, a uma taxa anual de 14%, sejam iguais a R$ 1.680,00.
 

Provas

Questão presente nas seguintes provas
3993927 Ano: 2025
Disciplina: Matemática
Banca: FUNDATEC
Orgão: Pref. Sant'ana Livramento-RS
Provas:
Quantos anagramas iniciados com a letra “L” e terminados em “O” podem ser formados a partir da palavra LIVRAMENTO?
 

Provas

Questão presente nas seguintes provas
3993926 Ano: 2025
Disciplina: Matemática
Banca: FUNDATEC
Orgão: Pref. Sant'ana Livramento-RS
Provas:
Na figura abaixo, as retas G, H e I são paralelas e interceptadas pelas transversais J e K. Considerando que os pontos A, B, C, D, E e F destacados na figura são os pontos de interseção das retas paralelas com as respectivas transversais e que os segmentos AC, CE, DF e BD medem, respectivamente, 8, 64, x e 12 unidades de comprimento, o valor de x é igual a:

Enunciado 4930350-1
 

Provas

Questão presente nas seguintes provas
3993925 Ano: 2025
Disciplina: Matemática
Banca: FUNDATEC
Orgão: Pref. Sant'ana Livramento-RS
Provas:
Em um triângulo ABC, o ângulo interno do vértice A mede 50º, e o ângulo interno do vértice B mede 70º. Dessa forma, qual é a medida do ângulo interno do vértice C?
 

Provas

Questão presente nas seguintes provas
3993924 Ano: 2025
Disciplina: Matemática
Banca: FUNDATEC
Orgão: Pref. Sant'ana Livramento-RS
Provas:
Considerando um polinômio de grau três definido por P(x) = 2x³ - 4x² + 3x – 1, qual é o valor de P(2)?
 

Provas

Questão presente nas seguintes provas
3993923 Ano: 2025
Disciplina: Matemática
Banca: FUNDATEC
Orgão: Pref. Sant'ana Livramento-RS
Provas:
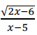
Qual é o domínio da função real definida por f(x) =Enunciado 4930347-1?
 

Provas

Questão presente nas seguintes provas
3993922 Ano: 2025
Disciplina: Matemática
Banca: FUNDATEC
Orgão: Pref. Sant'ana Livramento-RS
Provas:
Em uma progressão aritmética (P.A.), o terceiro termo é 13 e a razão é 5. Diante disso, qual é o resultado da soma dos nove primeiros termos da progressão?
 

Provas

Questão presente nas seguintes provas
3993921 Ano: 2025
Disciplina: Matemática
Banca: FUNDATEC
Orgão: Pref. Sant'ana Livramento-RS
Provas:
Considere que x é um número inteiro, tal que -3 ≤ x ≤ 3. Se elevarmos x ao quadrado e, em seguida, somarmos 10 ao resultado, qual dos seguintes resultados NÃO pode ser obtido?
 

Provas

Questão presente nas seguintes provas
3993920 Ano: 2025
Disciplina: Legislação Municipal
Banca: FUNDATEC
Orgão: Pref. Sant'ana Livramento-RS
Provas:
Qual das seguintes vantagens pecuniárias NÃO se incorpora ao vencimento ou provento para qualquer efeito, conforme o Estatuto dos Servidores Públicos do Município de Sant’Ana do Livramento?
 

Provas

Questão presente nas seguintes provas