Foram encontradas 360 questões.
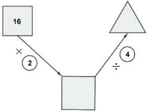
Observando o sentido das setas e realizando as operações indicadas, o número que preenche corretamente o triângulo é

Provas
Luiz fez uma aposta em um jogo de loteria que consiste no sorteio de 10 números de 1 a 40. Nesse jogo, o apostador preenche um cartão marcando 12 desses números e ganha, se acertar, exatamente 6 números. Os números que Luiz apostou estão marcados de preto no cartão a seguir.

Se os números sorteados foram 01, 02, 07, 11, 13, 18, 20, 25, 27 e 35, então Luiz acertou quantos números?
Provas
Haroldo chegou ao ponto de ônibus às 08 horas e 54 minutos da manhã e verificou o quadro de horários, conforme a figura a seguir.

De acordo com o quadro de horários, Haroldo terá que esperar quantos minutos pela partida do próximo ônibus?
Provas
Disciplina: Raciocínio Lógico
Banca: FCM
Orgão: Pref. Santa Cruz Escalvado-MG
A figura a seguir representa uma balança de dois pratos.

Considere dois tipos de objetos A e B, sendo que um objeto do tipo A pesa 6kg.

Sabe-se que dois objetos do tipo A se equilibram com três objetos do tipo B, como mostra a figura.

O peso de um objeto do tipo B é de quantos kg?
Provas
Qual dos gráficos a seguir é um gráfico de colunas?
Provas
Na figura a seguir, o retângulo foi dividido em quadrados cujos lados são todos iguais.

Que fração corresponde à parte pintada na figura?
Provas
O copo representado na figura a seguir está dividido em três partes iguais e possui 280mL de água, representados pelas duas partes cinzentas.

Assim, a quantidade de água necessária para encher o restante do copo é, em mL, igual a
Provas
Todas as bolas que estão nesta caixa serão distribuídas igualmente para 3 crianças.

Quantas bolas cada criança receberá?
Provas
César trabalha apenas no período da tarde. Em um determinado dia, os horários de entrada e saída foram registrados de acordo com as figuras a seguir.

Nesse dia, César trabalhou durante
Provas
Disciplina: Raciocínio Lógico
Banca: FCM
Orgão: Pref. Santa Cruz Escalvado-MG
Considere a cruz apresentada na figura a seguir e os números de 1 a 9. Cada quadrado será preenchido por um número de modo que em quadrados vizinhos os números não sejam consecutivos.

Obedecendo ao que se pede, indique a resposta que satisfaz às condições apresentadas, ou seja, que não haja números consecutivos em quadrados vizinhos.
Provas
Caderno Container