Foram encontradas 390 questões.
4063996
Ano: 2026
Disciplina: Estatística
Banca: Avança SP
Orgão: Pref. Santo Antônio Posse-SP
Disciplina: Estatística
Banca: Avança SP
Orgão: Pref. Santo Antônio Posse-SP
Provas:
Kelly estava ministrando a sua aula de Estatística
sobre o assunto de média aritmética, e questionou
os alunos sobre qual seria a média aritmética dos
números racionais:
Assinale a alternativa que indica a média dos números acima.
Assinale a alternativa que indica a média dos números acima.
Provas
Questão presente nas seguintes provas
4063995
Ano: 2026
Disciplina: Matemática
Banca: Avança SP
Orgão: Pref. Santo Antônio Posse-SP
Disciplina: Matemática
Banca: Avança SP
Orgão: Pref. Santo Antônio Posse-SP
Provas:
Durante uma atividade de revisão sobre notação
científica, o professor Renato pediu aos alunos
que convertessem determinados valores para
uma escala reduzida. Para isso, ele explicou que
deveriam multiplicar cada número por 0,00001,
que corresponde a 10−5
.
Em seguida, ele perguntou:
“Qual é o resultado ao multiplicar o número 563287 por 0,00001?”
Assinale a alternativa correta.
Em seguida, ele perguntou:
“Qual é o resultado ao multiplicar o número 563287 por 0,00001?”
Assinale a alternativa correta.
Provas
Questão presente nas seguintes provas
4063994
Ano: 2026
Disciplina: Matemática
Banca: Avança SP
Orgão: Pref. Santo Antônio Posse-SP
Disciplina: Matemática
Banca: Avança SP
Orgão: Pref. Santo Antônio Posse-SP
Provas:
Bernardo estava analisando um relatório de
consumo dos clientes do produto A em sua
padaria. Ele verificou que 165 clientes
consumiram esse produto nesta semana, sendo
que na segunda-feira 45 clientes compraram o
produto, na terça-feira foram 20 clientes, na
quarta-feira foram 50 clientes, na quinta-feira
foram 38 clientes e na sexta-feira foram 12
clientes. Assim, qual foi a média aritmética
simples de clientes do produto A, considerando
os dois dias de maior consumo deste?
Assinale a alternativa correta.
Assinale a alternativa correta.
Provas
Questão presente nas seguintes provas
4063993
Ano: 2026
Disciplina: Matemática
Banca: Avança SP
Orgão: Pref. Santo Antônio Posse-SP
Disciplina: Matemática
Banca: Avança SP
Orgão: Pref. Santo Antônio Posse-SP
Provas:
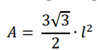
Durante uma aula de Geometria, o professor
Nilmar revisava com os alunos as fórmulas de
áreas de polígonos regulares. Ao chegar no
hexágono regular, ele lembrou a turma de que sua
área pode ser calculada pela expressão:
onde l representa a medida do lado do hexágono.
Em seguida, ele apresentou um hexágono regular desenhado no quadro, cujo lado media 8 cm, e perguntou aos alunos:
“Utilizando a fórmula da área do hexágono regular, qual é a área total desse hexágono?”
Assinale a alternativa correta.
onde l representa a medida do lado do hexágono.
Em seguida, ele apresentou um hexágono regular desenhado no quadro, cujo lado media 8 cm, e perguntou aos alunos:
“Utilizando a fórmula da área do hexágono regular, qual é a área total desse hexágono?”
Assinale a alternativa correta.
Provas
Questão presente nas seguintes provas
4063992
Ano: 2026
Disciplina: Matemática
Banca: Avança SP
Orgão: Pref. Santo Antônio Posse-SP
Disciplina: Matemática
Banca: Avança SP
Orgão: Pref. Santo Antônio Posse-SP
Provas:
Para preparar 8 porções de doce de abóbora, uma
receita utiliza 1 kg de abóbora cozida, sem casca
e cortada em pedaços médios, além de 2 xícaras
(chá) de açúcar. Certo dia, o cozinheiro decidiu
preparar 15 porções, mantendo exatamente as
mesmas proporções da receita original. Quais
devem ser as quantidades de abóbora cozida e de
açúcar necessárias para produzir as 15 porções?
Assinale a alternativa correta.
Assinale a alternativa correta.
Provas
Questão presente nas seguintes provas
4063991
Ano: 2026
Disciplina: Matemática
Banca: Avança SP
Orgão: Pref. Santo Antônio Posse-SP
Disciplina: Matemática
Banca: Avança SP
Orgão: Pref. Santo Antônio Posse-SP
Provas:
Pedro perguntou ao seu pai, Thiago, qual seria o
valor total com 20% de aumento sobre o valor da
sua mesada de R$ 80,00. Assinale a alternativa
correta sobre o que Thiago respondeu ao seu
filho.
Provas
Questão presente nas seguintes provas
4063990
Ano: 2026
Disciplina: Matemática
Banca: Avança SP
Orgão: Pref. Santo Antônio Posse-SP
Disciplina: Matemática
Banca: Avança SP
Orgão: Pref. Santo Antônio Posse-SP
Provas:
Durante uma feira de moda, Vitória observou que
o número de visitantes aumentou
significativamente em relação ao ano anterior.
No ano passado, o evento recebeu 6 mil pessoas.
Neste ano, o público foi de 16 mil visitantes.
Portanto, a razão entre o número de visitantes deste ano e o do ano passado é de _________. Assinale a alternativa que completa a lacuna corretamente, de acordo com a razão citada acima.
Portanto, a razão entre o número de visitantes deste ano e o do ano passado é de _________. Assinale a alternativa que completa a lacuna corretamente, de acordo com a razão citada acima.
Provas
Questão presente nas seguintes provas
4063989
Ano: 2026
Disciplina: Matemática
Banca: Avança SP
Orgão: Pref. Santo Antônio Posse-SP
Disciplina: Matemática
Banca: Avança SP
Orgão: Pref. Santo Antônio Posse-SP
Provas:
Considere os números 121 e 1331. Assinale a
alternativa que apresenta corretamente o Mínimo
Múltiplo Comum (MMC) desses dois números:
Provas
Questão presente nas seguintes provas
4063988
Ano: 2026
Disciplina: Matemática
Banca: Avança SP
Orgão: Pref. Santo Antônio Posse-SP
Disciplina: Matemática
Banca: Avança SP
Orgão: Pref. Santo Antônio Posse-SP
Provas:
Durante um período de forte inflação no país
Alfa, o preço do litro do óleo de cozinha
aumentou de R$ 6,40 para R$ 7,68. Com base
nesses valores, qual foi a porcentagem de
aumento no preço do produto?
Assinale a alternativa correta.
Assinale a alternativa correta.
Provas
Questão presente nas seguintes provas
4063987
Ano: 2026
Disciplina: Matemática
Banca: Avança SP
Orgão: Pref. Santo Antônio Posse-SP
Disciplina: Matemática
Banca: Avança SP
Orgão: Pref. Santo Antônio Posse-SP
Provas:
O padeiro Manoel estava preparando uma
fornada de pães e desta vez ele precisou aumentar
a receita para o dobro da quantidade. Então,
como ele utilizava 20 kg de farinha de trigo e 0,4
kg de fermento para pão, quais serão as novas
quantidades de farinha de trigo e de fermento
para pão, respectivamente?
Assinale a alternativa correta.
Assinale a alternativa correta.
Provas
Questão presente nas seguintes provas
Cadernos
Caderno Container