Magna Concursos

Foram encontradas 380 questões.

916914 Ano: 2018
Disciplina: Engenharia Civil
Banca: VUNESP
Orgão: Pref. São Bernardo do Campo-SP
Provas:
Ao se optar pela produção de concreto de cimento Portland no canteiro de obras, o cimento, quando adquirido em sacos, deve ser guardado em pilhas, em local fechado, protegido da ação de chuva, névoa ou condensação. As pilhas devem estar separadas por corredores que permitam o acesso, e os sacos devem ficar apoiados sobre estrado ou paletes de madeira, para evitar o contato direto com o piso. Se os sacos de cimento ficarem retidos por um período superior a 15 dias, devem ser empilhados em altura de, no máximo,
 

Provas

Questão presente nas seguintes provas
916913 Ano: 2018
Disciplina: Engenharia Civil
Banca: VUNESP
Orgão: Pref. São Bernardo do Campo-SP
Provas:
Considere a composição de custos unitários utilizada para orçar a execução de alvenaria de tijolo laminado à vista, com espessura de 1/4 de tijolo.
Enunciado 916913-1 Se for utilizado outro tipo de tijolo laminado de melhor qualidade ao custo unitário de R$ 1,50, o custo do metro quadrado desse serviço aumentará em
 

Provas

Questão presente nas seguintes provas
916912 Ano: 2018
Disciplina: Engenharia Civil
Banca: VUNESP
Orgão: Pref. São Bernardo do Campo-SP
Provas:
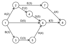
Um engenheiro planejou a obra de reforma de uma residência conforme o cronograma PERT-CPM da figura a seguir, no qual as atividades estão representadas por letras, seguidas de suas durações em dias.
Enunciado 916912-1
Ao apresentar o orçamento e o planejamento da obra ao cliente, o engenheiro informou que o prazo para concluí-la, em dias, é
 

Provas

Questão presente nas seguintes provas
916911 Ano: 2018
Disciplina: Engenharia Civil
Banca: VUNESP
Orgão: Pref. São Bernardo do Campo-SP
Provas:
Considere o levantamento topográfico planimétrico de um terreno ilustrado a seguir. Enunciado 916911-1 O rumo da linha 3-4 é
 

Provas

Questão presente nas seguintes provas
916910 Ano: 2018
Disciplina: Engenharia Civil
Banca: VUNESP
Orgão: Pref. São Bernardo do Campo-SP
Provas:
No projeto de esgotamento sanitário da rede de esgoto de uma residência, previram-se os seguintes aparelhos sanitários com suas respectivas Unidades de Hunter de Contribuição – UHC, apresentadas na tabela a seguir.
Enunciado 916910-1
O diâmetro nominal mínimo do ramal de esgoto que deve escoar os efluentes dos aparelhos sanitários da residência é
 

Provas

Questão presente nas seguintes provas
916909 Ano: 2018
Disciplina: Engenharia Civil
Banca: VUNESP
Orgão: Pref. São Bernardo do Campo-SP
Provas:
Para o projeto das instalações prediais de água fria de uma edificação, foram previstas as seguintes peças usuais de utilização seguidas de seus pesos relativos, conforme a tabela a seguir.
Enunciado 916909-1

Pelo método da estimativa das vazões, a vazão estimada de água, em litros por segundo, na seção da tubulação que alimenta simultaneamente todas as peças de utilização da residência, é
 

Provas

Questão presente nas seguintes provas
916908 Ano: 2018
Disciplina: Engenharia Civil
Banca: VUNESP
Orgão: Pref. São Bernardo do Campo-SP
Provas:

Considere a treliça metálica do projeto da construção de um galpão, ilustrada na figura a seguir.

Enunciado 916908-1

As barras AB e AC estão solicitadas, respectivamente, pelas forças normais, em módulo e em kN, de

 

Provas

Questão presente nas seguintes provas
916907 Ano: 2018
Disciplina: Engenharia Civil
Banca: VUNESP
Orgão: Pref. São Bernardo do Campo-SP
Provas:
Considere a viga simplesmente apoiada com vão de 8 m e seção transversal retangular, representada na figura a seguir. Enunciado 916907-1 A tensão normal máxima, devido à flexão na fibra mais tracionada da viga, em MPa, é
 

Provas

Questão presente nas seguintes provas
916906 Ano: 2018
Disciplina: Engenharia Civil
Banca: VUNESP
Orgão: Pref. São Bernardo do Campo-SP
Provas:
Na fase de estudos preliminares ou de planejamento de um edifício com área de projeção em planta de 2000 m² , que deve ser construído em um terreno com área de 4000 m², deve-se prever uma programação de sondagens de simples reconhecimento para fundações, cujo número mínimo de furos é
 

Provas

Questão presente nas seguintes provas
916905 Ano: 2018
Disciplina: Engenharia Civil
Banca: VUNESP
Orgão: Pref. São Bernardo do Campo-SP
Provas:
Para a construção de uma residência com área de 200 m² , um engenheiro apresentou um orçamento no qual constava o custo dos materiais de R$ 336.000,00, o custo da mão de obra de R$ 179.200,00 e os encargos sociais sobre a mão de obra de 125%. Se, para cobrir os custos indiretos e o lucro, o engenheiro apresentar a taxa de BDI de 25%, o preço do metro quadrado dessa residência é
 

Provas

Questão presente nas seguintes provas