Foram encontradas 323 questões.
A área de um salão retangular foi representada pelo Polinômio
A= x² + 6xy + y² , com as seguintes informações: x+y = 8 e x.y =
15 . Sabendo que o salão tem 31 metros de comprimento, quanto
mede a sua largura?
Provas
Questão presente nas seguintes provas
Em um Concurso Público no qual participam 400 pessoas, 280
foram aprovadas. Qual a taxa percentual de reprovação?
Provas
Questão presente nas seguintes provas
Resolva o sistema e marque a alternativa correta.

Provas
Questão presente nas seguintes provas
Uma indústria de refrigeração fabrica geladeiras Tipo X e Tipo Y
nas versões: Branca, Colorida e Aço-Inox. Peças A, B e C são
utilizadas na montagem dessas geladeiras. Na seção de
montagem, são utilizadas as tabelas seguintes:
Calcule a matriz Peça-Versão e assinale a alternativa que apresenta quantas peças do Tipo B são utilizadas na montagem da geladeira Aço-Inox.
Calcule a matriz Peça-Versão e assinale a alternativa que apresenta quantas peças do Tipo B são utilizadas na montagem da geladeira Aço-Inox.
Provas
Questão presente nas seguintes provas
O gráfico seguinte representa a distribuição de frequências dos salários em reais dos professores de um curso preparatório para o ENEM.

Provas
Questão presente nas seguintes provas
O gráfico seguinte representa a distribuição de frequências dos salários em reais dos professores de um curso preparatório para o ENEM.

Provas
Questão presente nas seguintes provas
Uma barra de ferro após ser aquecida até 50ºC foi resfriada até
-1 OºC. O gráfico, a seguir, representa o processo de resfriamento
(temperatura "T" em função do tempo "t" em minutos). Após
quanto tempo, a temperatura atingiu OºC?


Provas
Questão presente nas seguintes provas
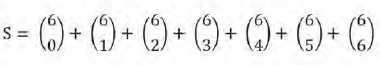
Qual o valor da soma dos números binomiais?

Provas
Questão presente nas seguintes provas
"Ao congelar-se, a água aumenta 1/15 seu volume". Quantos litros de água preciso congelar para obter um bloco com forma de paralelepípedo e dimensões 10 dm x 6 dm x4 dm?

Provas
Questão presente nas seguintes provas
Em um terreno com a forma de um triângulo retângulo,
representado na figura seguinte, deseja-se construir um
auditório. Sabendo que o auditório terá a área máxima possível,
assinale a alternativa que apresenta a área que restará para os
dois jardins.


Provas
Questão presente nas seguintes provas
Cadernos
Caderno Container