Foram encontradas 2.720 questões.
Um paciente procura atendimento médico com dificuldade de marcha. Ao exame físico, observa-se marcha escarvante. Assinale a alternativa que contenha um sinal que este paciente também deve apresentar.
Provas
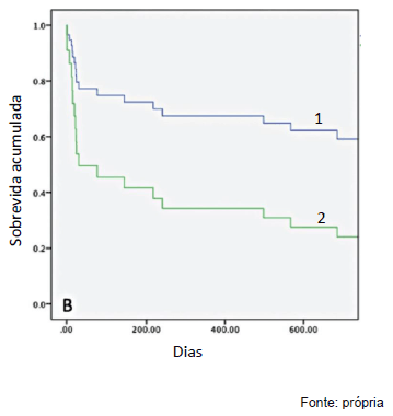
Derivações ventriculares precisam de revisão com grande frequência, seja por obstrução, seja por infecção. O gráfico, a seguir, representa as curvas de sobrevida de derivações ventriculares realizadas em crianças num determinado hospital, ou seja, o tempo entre a implantação da válvula até o momento em que foi revisada, de acordo com a etiologia da hidrocefalia (congênita ou adquirida).

Assinale a alternativa correta.
Provas
Infecções no pós-operatório de cirurgias de artrodese de coluna lombar são umas das complicações mais frequentes na prática neurocirúrgica, suscitando dúvidas sobre a melhor conduta. A respeito de infecções profundas em artrodese lombar, assinale a alternativa incorreta.
Provas
A neurocisticercose é uma das infecções parasitárias mais comuns em países em desenvolvimento, particularmente na América Latina, África subsaariana e sudoeste asiático. A forma extraparenquimatosa é de especial interesse ao neurocirurgião devido ao potencial de complicações cirúrgicas. Sobre a forma extraparenquimatosa da neurocisticercose, analise as afirmativas a seguir.
I. A hidrocefalia pode ser causada por obstrução mecânica e por inflamação nos pontos de estreitamento da circulação do líquor.
II. Cistos no espaço subaracnóideo devem ser removidos por via endoscópica para menor risco de lesão neurovascular.
III. O tratamento antiparasitário deve ser administrado no pré-operatório para deixar os cistos livres e mais facilmente removíveis.
IV. O tratamento endoscópico com remoção de cistos e terceiro ventriculostomia dispensa o uso de derivações ventriculares.
Estão corretas as afirmativas:
Provas
A despeito de avanços no diagnóstico e nas intervenções cirúrgicas, abscessos cerebrais continuam sendo um relevante problema clínico com altas taxas de morbi-mortalidade. A respeito de abscessos cerebrais, assinale a alternativa correta.
Provas
Com o aumento da sobrevida de pacientes com câncer, o acometimento metastático da coluna vertebral tem se tornado cada vez mais frequente. Assinale a alternativa correta com relação a neoplasias metastáticas da coluna.
Provas
Tumores do sistema nervoso central representam de 20% a 30% das causas de mortalidade por neoplasia em todo o mundo. Assinale a alternativa que contenha o tipo histológico de tumor primário intracraniano mais frequente.
Provas
Meduloblastomas são tumores embrionários que ocorrem predominantemente na infância, com pico de incidência aos 7 anos. Há muita heterogeneidade nas mutações, deleções a amplificações de genes, mas algumas delas permitem agrupar os meduloblastomas com implicações prognósticas. Assinale a alternativa correta sobre os subgrupos moleculares de meduloblastomas.
Provas
A mutação do gene IDH confere aos gliomas características prognósticas distintas daqules gliomas não mutados (selvagens), especialmente para astrocitomas, oligodendrogliomas e glioblastomas. A respeito dessa mutação, assinale a alternativa correta.
Provas
A medula espinal tem organização somatotópica de fibras que veiculam informações ascendentes e descendente. Na figura a seguir, identifique o trato responsável pela condução de estímulos somestésicos de dor e temperatura.

Provas
Caderno Container