Foram encontradas 1.540 questões.
A produtividade do magistrado (Z) é um indicador que permite medir a celeridade dos processos judiciais. Ela é definida como uma razão na forma Z =
em que X representa o total anual de processos julgados pelos magistrados de certo tribunal e N, uma constante, representa o total de magistrados existentes nesse tribunal. Embora X seja uma variável aleatória discreta, ela pode ser aproximada por uma distribuição normal com média μ e desvio padrão σ.
Com base nessa situação hipotética, julgue os itens a seguir.
A produtividade do magistrado é uma variável aleatória que segue, aproximadamente, uma distribuição normal com média
de desvio padrão 
Com base nessa situação hipotética, julgue os itens a seguir.
A produtividade do magistrado é uma variável aleatória que segue, aproximadamente, uma distribuição normal com média
Provas
Questão presente nas seguintes provas
A produtividade do magistrado (Z) é um indicador que permite medir a celeridade dos processos judiciais. Ela é definida como uma razão na forma Z =
em que X representa o total anual de processos julgados pelos magistrados de certo tribunal e N, uma constante, representa o total de magistrados existentes nesse tribunal. Embora X seja uma variável aleatória discreta, ela pode ser aproximada por uma distribuição normal com média μ e desvio padrão σ.
Com base nessa situação hipotética, julgue os itens a seguir.
O indicador Z representa o número médio anual de processos julgados por um magistrado no referido tribunal.
Com base nessa situação hipotética, julgue os itens a seguir.
O indicador Z representa o número médio anual de processos julgados por um magistrado no referido tribunal.
Provas
Questão presente nas seguintes provas
O núcleo de assistência jurídica de um fórum que presta assistência jurídica gratuita a pessoas carentes recebe diariamente X casos novos, conforme uma distribuição condicional na forma.
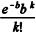
P (X = k|Y = b) =
em que k = 0, 1, 2, ..., b > 0 e Y segue uma distribuição exponencial com função de densidade f(y) = 2e-2y, em que y > 0.
Considerando essa situação hipotética, julgue os itens subsequentes.
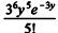
Considerando-se que, em certo dia, o núcleo tenha recebido 5 casos novos, é correto afirmar que a distribuição condicional Y|X = 5 segue a distribuição gamma na forma f(y|5) =
P (X = k|Y = b) =
Considerando essa situação hipotética, julgue os itens subsequentes.
Considerando-se que, em certo dia, o núcleo tenha recebido 5 casos novos, é correto afirmar que a distribuição condicional Y|X = 5 segue a distribuição gamma na forma f(y|5) =
Provas
Questão presente nas seguintes provas
O núcleo de assistência jurídica de um fórum que presta assistência jurídica gratuita a pessoas carentes recebe diariamente X casos novos, conforme uma distribuição condicional na forma.
P (X = k|Y = b) =
em que k = 0, 1, 2, ..., b > 0 e Y segue uma distribuição exponencial com função de densidade f(y) = 2e-2y, em que y > 0.
Considerando essa situação hipotética, julgue os itens subsequentes.
O desvio padrão da variável aleatória Y é igual a 2.
P (X = k|Y = b) =
Considerando essa situação hipotética, julgue os itens subsequentes.
O desvio padrão da variável aleatória Y é igual a 2.
Provas
Questão presente nas seguintes provas
O núcleo de assistência jurídica de um fórum que presta assistência jurídica gratuita a pessoas carentes recebe diariamente X casos novos, conforme uma distribuição condicional na forma.
P (X = k|Y = b) =
em que k = 0, 1, 2, ..., b > 0 e Y segue uma distribuição exponencial com função de densidade f(y) = 2e-2y, em que y > 0.
Considerando essa situação hipotética, julgue os itens subsequentes.
Se o valor b for desconhecido, a quantidade média diária de casos novos — E(X) — também será desconhecida.
P (X = k|Y = b) =
Considerando essa situação hipotética, julgue os itens subsequentes.
Se o valor b for desconhecido, a quantidade média diária de casos novos — E(X) — também será desconhecida.
Provas
Questão presente nas seguintes provas
O núcleo de assistência jurídica de um fórum que presta assistência jurídica gratuita a pessoas carentes recebe diariamente X casos novos, conforme uma distribuição condicional na forma.
P (X = k|Y = b) =
em que k = 0, 1, 2, ..., b > 0 e Y segue uma distribuição exponencial com função de densidade f(y) = 2e-2y, em que y > 0.
Considerando essa situação hipotética, julgue os itens subsequentes.
O valor b representa a taxa diária de chegada de casos novos, sendo essa taxa o valor esperado da quantidade diária X condicionada ao evento Y = b, ou seja, E(X|Y = b) = b.
P (X = k|Y = b) =
Considerando essa situação hipotética, julgue os itens subsequentes.
O valor b representa a taxa diária de chegada de casos novos, sendo essa taxa o valor esperado da quantidade diária X condicionada ao evento Y = b, ou seja, E(X|Y = b) = b.
Provas
Questão presente nas seguintes provas
O núcleo de assistência jurídica de um fórum que presta assistência jurídica gratuita a pessoas carentes recebe diariamente X casos novos, conforme uma distribuição condicional na forma.
P (X = k|Y = b) =
em que k = 0, 1, 2, ..., b > 0 e Y segue uma distribuição exponencial com função de densidade f(y) = 2e-2y, em que y > 0.
Considerando essa situação hipotética, julgue os itens subsequentes.
O coeficiente de correlação linear entre as variáveis X e Y é negativo.
P (X = k|Y = b) =
Considerando essa situação hipotética, julgue os itens subsequentes.
O coeficiente de correlação linear entre as variáveis X e Y é negativo.
Provas
Questão presente nas seguintes provas
- Estatística InferencialFunções Densidade de Probabilidade
- Estatística InferencialVariáveis AleatóriasVariável Aleatória Contínua
- Probabilidades
Nas estatísticas do Poder Judiciário, a taxa de congestionamento (X), que consiste em um indicador que permite medir a efetividade da movimentação processual de um tribunal, é uma variável aleatória contínua com função de densidade f(x) expressa por
Com base nessas informações, julgue os próximos itens.
A média da taxa de congestionamento é inferior a 0,10 × β.
Com base nessas informações, julgue os próximos itens.
A média da taxa de congestionamento é inferior a 0,10 × β.
Provas
Questão presente nas seguintes provas
- Estatística InferencialFunções Densidade de Probabilidade
- Estatística InferencialVariáveis AleatóriasVariável Aleatória Contínua
- Probabilidades
Nas estatísticas do Poder Judiciário, a taxa de congestionamento (X), que consiste em um indicador que permite medir a efetividade da movimentação processual de um tribunal, é uma variável aleatória contínua com função de densidade f(x) expressa por
Com base nessas informações, julgue os próximos itens.
O valor de β é superior a 450 e inferior a 500.
Com base nessas informações, julgue os próximos itens.
O valor de β é superior a 450 e inferior a 500.
Provas
Questão presente nas seguintes provas
- Estatística InferencialFunções Densidade de Probabilidade
- Estatística InferencialVariáveis AleatóriasVariável Aleatória Contínua
- Probabilidades
Nas estatísticas do Poder Judiciário, a taxa de congestionamento (X), que consiste em um indicador que permite medir a efetividade da movimentação processual de um tribunal, é uma variável aleatória contínua com função de densidade f(x) expressa por
Com base nessas informações, julgue os próximos itens.
A variável aleatória X segue uma distribuição especial denominada de Beta, que é, a priori, conjugada das distribuições geométrica e de Bernoulli
Com base nessas informações, julgue os próximos itens.
A variável aleatória X segue uma distribuição especial denominada de Beta, que é, a priori, conjugada das distribuições geométrica e de Bernoulli
Provas
Questão presente nas seguintes provas
Cadernos
Caderno Container