Foram encontradas 70 questões.
Ressalvados os casos previstos em lei específica, se o servidor empossado em cargo público não entrar em exercício no prazo de quinze dias, contados da data da posse, será
Provas
Questão presente nas seguintes provas
Uma máquina corta 15 metros de papel por minuto. Usando-se outra máquina, com 60% da capacidade operacional da primeira, é possível cortar 18 metros do mesmo tipo de papel em
Provas
Questão presente nas seguintes provas
Certo dia, um técnico judiciário constatou que, de cada 8 pessoas que atendera, 5 eram do sexo feminino. Se, nesse dia, ele atendeu a 96 pessoas, quantas eram do sexo masculino?
Provas
Questão presente nas seguintes provas
Um relógio está atrasando 40 segundos por hora. Se ele for acertado às 12 horas, então, às 08 horas do dia seguinte, estará marcando
Provas
Questão presente nas seguintes provas
Alguns técnicos judiciários combinaram dividir igualmente entre si a tarefa de digitar as 245 páginas de um texto. Entretanto, no dia da divisão, o grupo foi acrescido de mais dois técnicos e, assim, coube a cada membro do novo grupo digitar 14 páginas a menos do que inicialmente previsto. O número de técnicos que cumpriu a tarefa era
Provas
Questão presente nas seguintes provas
Num almoxarifado, há 15 caixas contendo, cada uma, 60 unidades de um mesmo tipo de impresso. Se fosse possível colocar 75 unidades de tais impressos em cada caixa, quantas caixas seriam usadas?
Provas
Questão presente nas seguintes provas
Um total de 141 documentos devem ser catalogados por três técnicos judiciários. Para cumprir a tarefa, dividiram os documentos entre si, em partes inversamente proporcionais às suas respectivas idades: 24, 36 e 42 anos. Nessas condições, o número de documentos que coube ao mais jovem foi
Provas
Questão presente nas seguintes provas
Alguns processos a serem arquivados foram distribuídos a três técnicos judiciários, A, B e C, do seguinte modo: B recebeu o triplo de A e C recebeu a metade de B. Se a diferença entre a maior e a menor quantidade de processos distribuídos era de 48 unidades, o total de processos era
Provas
Questão presente nas seguintes provas
Pretende-se dividir a quantia de R$ 2 500,00 em duas partes tais que a soma da terça parte da primeira com o triplo da segunda seja igual a R$ 2 700,00. A diferença positiva entre os valores das duas partes é de
Provas
Questão presente nas seguintes provas
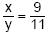
No almoxarifado de um Órgão Público há um lote de pastas, x das quais são na cor azul e as y restantes na cor verde. Se
, a porcentagem de pastas azuis no lote é de
, a porcentagem de pastas azuis no lote é deProvas
Questão presente nas seguintes provas
Cadernos
Caderno Container