Foram encontradas 464 questões.
- Distribuições de ProbabilidadeDistribuições DiscretasPoisson
- Estatística DescritivaMedidas de Tendência Central
Provas
- AmostragemTipos de AmostragemAmostragem aleatória simples
- Estatística DescritivaMedidas de Tendência Central
Provas
Provas
onde K é uma constante (número real).
A função de distribuição da variável aleatória T, no intervalo de 8 ≤ t ≤ 12 é dada por Provas
- AmostragemTipos de AmostragemAmostragem aleatória simples
- AmostragemTipos de AmostragemAmostragem por Estratificação
tem variância igual a
Está correto o que consta em Provas
- Estatística InferencialVariáveis AleatóriasVariável Aleatória Discreta
- Estatística InferencialVariáveis AleatóriasVariável Aleatória Contínua
- Probabilidades
A variável aleatória
tem distribuição multivariada com vetor de médias
e matriz de
covariâncias
. Seja a variável aleatória Y = 2X1 − X2 + 3X3 , a variância de Y é igual aProvas
- Distribuições de ProbabilidadeDistribuições ContínuasNormal
- Estatística DescritivaMedidas de Tendência Central
Atenção: Para responder a questão use, dentre as informações dadas a seguir, a que julgar apropriada.
Se Z tem distribuição normal padrão, então:
P(Z < 0,6) = 0,73, P(Z < 0,68) = 0,75, P(Z < 1) = 0,84, P(Z < 1,64) = 0,95.
tem distribuição multivariada com vetor de médias
e matriz de
covariâncias
. Supondo que X2 e X3 têm distribuição normal, P [(X2 − X3) > 5,8] é igual a
Provas
Atenção: Para responder a questão use, dentre as informações dadas a seguir, a que julgar apropriada.
Se Z tem distribuição normal padrão, então:
P(Z < 0,6) = 0,73, P(Z < 0,68) = 0,75, P(Z < 1) = 0,84, P(Z < 1,64) = 0,95.
Sabe-se que o vetor aleatório
tem distribuição normal bivariada com vetor de médias
e matriz de
covariâncias
Uma amostra aleatória, simples, com reposição, de tamanho n, [(Xi , Y1),..., (Xn,Yn )] é selecionada da
distribuição de U.
Considere a variável aleatória
são as respectivas médias amostrais de X e Y.
Nessas condições, se P(IW − (μ1 − μ2)l < 0,41) = 0,90 , o valor de n é igual a
Provas

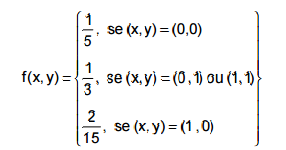
Nessas condições, a esperança condicional de Y dado X = 1, expressa por E(Y|X = 1), é dada por
Provas
A variável aleatória bidimensional (X,Y) tem função de probabilidade dada por:

A variância da variável aleatória (X − Y) é igual a
Provas
Caderno Container