Foram encontradas 223 questões.
Numa cidade se publicam somente três jornais: A, B e C. Sabe-se que, dentre a população de adultos da cidade:
? 18% assinam A; 15% assinam B; 10% assinam C; 9% assinam A e B;
? 5% assinam A e C; 4% assinam B e C e 3% assinam os três jornais.
Dentre os que assinam pelo menos um jornal, a proporção dos que assinam A ou B é
? 18% assinam A; 15% assinam B; 10% assinam C; 9% assinam A e B;
? 5% assinam A e C; 4% assinam B e C e 3% assinam os três jornais.
Dentre os que assinam pelo menos um jornal, a proporção dos que assinam A ou B é
Provas
Questão presente nas seguintes provas
Se X é uma variável aleatória com distribuição binomial com parâmetros n e p, sua função geratriz de momentos é dada por
Provas
Questão presente nas seguintes provas
Considere a variável aleatória bidimensional (X,Y) cuja função densidade de probabilidade é dada por:

A esperança condicional de Y dado x, denotada por E(Y| x), é dada por

A esperança condicional de Y dado x, denotada por E(Y| x), é dada por
Provas
Questão presente nas seguintes provas
Seja X uma variável aleatória com função densidade de probabilidade dada por:

Utilizando-se o método dos momentos, uma estimativa de ? baseada na amostra (0,2; 0,3; 0,5) é dada por

Utilizando-se o método dos momentos, uma estimativa de ? baseada na amostra (0,2; 0,3; 0,5) é dada por
Provas
Questão presente nas seguintes provas
- Distribuições de ProbabilidadeDistribuições ContínuasNormal
- Estatística InferencialIntervalos de confiança
Para resolver às questões de números 56 e 57 use, dentre as informações dadas a seguir, as que julgar apropriadas.
Se Z tem distribuição normal padrão, então:

Deseja-se estimar a proporção (p) de processos julgados por um tribunal regional do trabalho durante o período de 2000 até 2008. Uma amostra aleatória de 10.000 processos, selecionada da população (suposta infinita) de todos os processos, revelou que 5.000 foram julgados no referido período. Um intervalo de confiança, com coeficiente de confiança de 90% para p, baseado nessa amostra, é dado porSe Z tem distribuição normal padrão, então:

Provas
Questão presente nas seguintes provas
Para resolver às questões de números 56 e 57 use, dentre as informações dadas a seguir, as que julgar apropriadas.
Se Z tem distribuição normal padrão, então:

A distribuição dos salários, em número de salários mínimos, dos funcionários do sexo masculino de uma empresa é uma variável aleatória X : N (5; 1) e a dos funcionários do sexo feminino é uma variável aleatória Y : N (5; 1,25). Sorteiam-se duas amostras aleatórias simples, independentes, de cada uma dessas distribuições, as duas com n elementos cada. Seja D = X ? Y. Se Z tem distribuição normal padrão, então:

O valor de n para que P (|D| ? 0,3) = 0,96, é
Provas
Questão presente nas seguintes provas
Uma população possui 15 elementos e tem variância
. Desta população retira-se uma amostra aleatória sem reposição de n elementos. Sabendo-se que a média amostral
desses n elementos tem variância igual a
, o valor de n é dado por
. Desta população retira-se uma amostra aleatória sem reposição de n elementos. Sabendo-se que a média amostral
desses n elementos tem variância igual a
, o valor de n é dado porProvas
Questão presente nas seguintes provas
Considere o modelo autorregressivo de ordem dois AR(2) dado por:

Onde
é o ruído branco de média zero e variância
. Se
é estacionário, então o valor da função de autocorrelação no lag 1 é

Onde
é o ruído branco de média zero e variância
. Se
é estacionário, então o valor da função de autocorrelação no lag 1 éProvas
Questão presente nas seguintes provas
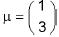
Seja X =
um vetor de variáveis aleatórias com vetor de médias
e matriz de covariâncias
Seja
a primeira componente principal da matriz ? . A proporção da variância total de X que é explicada por Y é
um vetor de variáveis aleatórias com vetor de médias
e matriz de covariâncias
Seja
a primeira componente principal da matriz ? . A proporção da variância total de X que é explicada por Y éProvas
Questão presente nas seguintes provas
Se a função de distribuição acumulada da variável aleatória X é dada por:

Então P(X=1) é igual a

Então P(X=1) é igual a
Provas
Questão presente nas seguintes provas
Cadernos
Caderno Container