Foram encontradas 576 questões.

Provas
Questão presente nas seguintes provas
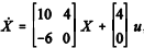
A respeito de processamento de sinais, assinale a opção correta.
Provas
Questão presente nas seguintes provas

Considerando que, para o circuito RLC apresentado na figura, as variáveis de estado do sistema sejam x1 = i e x2 = vc, assinale a opção correta acerca de sistemas lineares.
Provas
Questão presente nas seguintes provas

Considerando a figura, que apresenta um conversor cujos componentes são ideais, assinale a opção correta.
Provas
Questão presente nas seguintes provas

Com relação à porta lógica ilustrada na figura precedente, assinale a opção correta.
Provas
Questão presente nas seguintes provas
Amplamente utilizada na indústria de equipamentos elétricos, a liga
de ferro-silício
Provas
Questão presente nas seguintes provas
- Instalações Elétricas
- Normas TécnicasNBRsNBR 5419: Sistema de Proteção contra Descargas Atmosféricas
Os para-raios são utilizados para prevenir os danos provocados por
descargas atmosféricas em redes de transmissão e distribuição de
energia. A respeito desse equipamento e das tecnologias envolvidas,
assinale a opção correta.
Provas
Questão presente nas seguintes provas
Acerca da polarização em dielétricos, assinale a opção correta.
Provas
Questão presente nas seguintes provas
Se uma máquina síncrona, que fornece potência ativa para um
sistema ligado a um gerador, gira a 1.800 rpm e o gerador tem
4 polos, então a frequência da tensão gerada é
Provas
Questão presente nas seguintes provas
Entre as diversas opções de projeto para corrigir um fator de
potência indutivo de uma instalação elétrica, é correto utilizar
Provas
Questão presente nas seguintes provas
Cadernos
Caderno Container