Foram encontradas 50 questões.
Disciplina: Direito Educacional e Tecnológico
Banca: FUNDATEC
Orgão: UERGS
De acordo com o disposto no Decreto nº 43.240/2004, que aprova o Estatuto da Uergs, relacione a Coluna 1 à Coluna 2, associando a organização institucional da Universidade às suas definições.
Coluna 1
1. Conselho de Ensino, Pesquisa e Extensão.
2. Reitoria.
3. Unidades Universitárias.
4. Conselhos Consultivos Regionais.
Coluna 2
( ) Institutos constituídos por cursos em áreas afins; desenvolvem atividades de ensino, pesquisa e extensão.
( ) Órgão Central executivo superior que administra, coordena, fiscaliza e superintende todas as atividades da Universidade e é exercida pelo Reitor, e nas suas ausências e impedimentos, pelo Vice-Reitor.
( ) Órgão técnico-normativo de deliberação superior em matéria de ensino, pesquisa e extensão em toda a Universidade, nomeado e presidido pelo Reitor.
( ) Órgãos de assessoramento das Direções Regionais, designados pelo Reitor e presididos pelos seus respectivos Diretores Regionais.
A ordem correta de preenchimento dos parênteses, de cima para baixo, é:
Provas
Leia a seguinte notícia: “A votação, nas 24 unidades da Uergs e na Reitoria, ocorreu nos dias 27 e 28 de agosto/2018, e a Comissão Eleitoral realizou a contagem dos votos. O novo reitor será Leonardo Bertoldt e sua vice, a professora Sandra Lemos. Ambos foram eleitos com 50,66% dos votos válidos”. (Texto adaptado. Fonte: Extraclasse.org.br, 2018). De acordo com a Lei nº 11.646/2001, o Reitor será escolhido mediante eleição __________________, nos termos estabelecidos no Estatuto da Universidade, e nomeado por ato do Governador para mandato de ___ anos.
Assinale a alternativa que preenche, correta e respectivamente, as lacunas do trecho acima.
Provas
Leia a seguinte notícia:

“Uergs abrirá novos cursos de graduação em 2019.
A Uergs definiu nesta terça-feira (16) a oferta de cursos e vagas para 2019. Além da abertura de vagas em cursos já existentes, os conselhos superiores aprovaram a criação de novas graduações: Agroecologia, em Santa Cruz do Sul; Engenharia de Controle e Automação, em Porto Alegre; e Agronomia, em Sananduva. São 1545 vagas”. (Fonte: http://www.uergs.edu.br, 16/05/2018).
De acordo com a Lei nº 11.646/2001, a seleção de candidatos à matrícula inicial em quaisquer dos cursos regulares dar-se-á mediante seleção pública, que também deverá considerar o aproveitamento escolar para aferição de conhecimentos e habilidades intelectuais. Na seleção para cursos regulares de graduação, ficam asseguradas _____ das vagas para os candidatos que comprovarem a condição de __________________, na forma do Estatuto, e de, no mínimo, _____ das vagas existentes para os candidatos _____________.
Assinale a alternativa que preenche, correta e respectivamente, as lacunas do trecho acima.
Provas
Provas
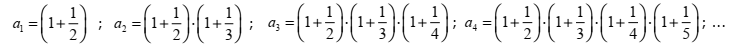
Observe a seguinte sequência numérica:

Nesse caso, pode-se afirmar que a10 é igual a:
Provas

Provas

Provas

Provas

Em relação ao uso de pontuação no texto, são feitas as seguintes afirmações:
I. A vírgula da linha 04 poderia ser suprimida sem que isso significasse incorreção linguística.
II. A primeira vírgula da linha 21 separa o predicativo (anteposto ao sujeito) de Maicon Ferreira.
III. A 1ª, a 2ª e a 3ª vírgulas da linha 26 isolam adjuntos adverbiais.
IV. As vírgulas das linhas 27 e 28 (1ª ocorrência) separam uma oração adjetiva reduzida.
Quais estão corretas?
Provas

Provas
Caderno Container