Foram encontradas 331 questões.
A Lei Geral de Proteção de Dados - LGPD (Lei n. 13.709, de 2018) traz um rol de princípios a serem
observados nas atividades de tratamento de dados pessoais. Associe os princípios listados na Coluna I
com suas respectivas definições, listadas na Coluna II:
COLUNA I
1. Finalidade 2. Prevenção 3. Segurança 4. Necessidade 5. Adequação
COLUNA II
( ) limitação do tratamento ao mínimo necessário para a realização de suas finalidades, com abrangência dos dados pertinentes, proporcionais e não excessivos em relação às finalidades do tratamento de dados.
( ) realização do tratamento para propósitos legítimos, específicos, explícitos e informados ao titular, sem possibilidade de tratamento posterior de forma incompatível com tais propósitos.
( ) compatibilidade do tratamento com as finalidades informadas ao titular, de acordo com o contexto do tratamento.
( ) utilização de medidas técnicas e administrativas aptas a proteger os dados pessoais de acessos não autorizados e de situações acidentais ou ilícitas de destruição, perda, alteração, comunicação ou difusão.
( ) adoção de medidas para evitar a ocorrência de danos em virtude do tratamento de dados pessoais.
Assinale, a seguir, a alternativa que corresponde à adequada correlação do princípio com sua definição legal:
COLUNA I
1. Finalidade 2. Prevenção 3. Segurança 4. Necessidade 5. Adequação
COLUNA II
( ) limitação do tratamento ao mínimo necessário para a realização de suas finalidades, com abrangência dos dados pertinentes, proporcionais e não excessivos em relação às finalidades do tratamento de dados.
( ) realização do tratamento para propósitos legítimos, específicos, explícitos e informados ao titular, sem possibilidade de tratamento posterior de forma incompatível com tais propósitos.
( ) compatibilidade do tratamento com as finalidades informadas ao titular, de acordo com o contexto do tratamento.
( ) utilização de medidas técnicas e administrativas aptas a proteger os dados pessoais de acessos não autorizados e de situações acidentais ou ilícitas de destruição, perda, alteração, comunicação ou difusão.
( ) adoção de medidas para evitar a ocorrência de danos em virtude do tratamento de dados pessoais.
Assinale, a seguir, a alternativa que corresponde à adequada correlação do princípio com sua definição legal:
Provas
Questão presente nas seguintes provas
Sobre o tratamento de dados pessoais sensíveis, regulado pela Lei Geral de Proteção de Dados (Lei n.
13.709, de 2018), assinale a alternativa CORRETA:
Provas
Questão presente nas seguintes provas
Sabendo que x é um número natural que satisfaz às seguintes condições:
• x é divisível por 5 • mdc(x, 42) = 3 • mmc(x, 30) = 90
É CORRETO afirmar que:
• x é divisível por 5 • mdc(x, 42) = 3 • mmc(x, 30) = 90
É CORRETO afirmar que:
Provas
Questão presente nas seguintes provas
Partindo de um mesmo ponto, o carro A vai para oeste com uma velocidade de 30 Km/h e o carro B vai
para sul com uma velocidade de 40 Km/h.
A velocidade de afastamento entre os carros, quando o tempo t = 1h, é:
A velocidade de afastamento entre os carros, quando o tempo t = 1h, é:
Provas
Questão presente nas seguintes provas
Em uma certa manhã, no posto de saúde PSF1, foram realizados quatro tipos de procedimentos e cada
procedimento foi realizado, no máximo, uma vez em cada pessoa. A tabela, a seguir, apresenta os
procedimentos e o número de pessoas que realizaram cada procedimento:
Sabendo que:
• pessoas que vacinaram não fizeram nenhum outro procedimento; • 3 pessoas passaram pelos procedimentos I, II e III; • 4 pessoas passaram por I e II; • 5 pessoas passaram por I e III; • 20 pessoas passaram pelo PSF1, e todas realizaram, pelo menos, um procedimento.
Com base nas informações, o valor de X, mencionado na tabela, é:
Sabendo que:
• pessoas que vacinaram não fizeram nenhum outro procedimento; • 3 pessoas passaram pelos procedimentos I, II e III; • 4 pessoas passaram por I e II; • 5 pessoas passaram por I e III; • 20 pessoas passaram pelo PSF1, e todas realizaram, pelo menos, um procedimento.
Com base nas informações, o valor de X, mencionado na tabela, é:
Provas
Questão presente nas seguintes provas
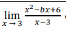
O valor de b para que o limite
exista é:
Provas
Questão presente nas seguintes provas
As equações y = - 2/3x 2 e y = ax + b representam as retas paralelas da figura, a seguir:

A razão entre os números a e b é:
Provas
Questão presente nas seguintes provas
A figura, a seguir, foi desenhada usando um triângulo equilátero de lado x e três setores circulares
idênticos cujo raio é a metade de x e os centros são os vértices do triângulo.
A medida da área da região cinza, em função de x, é:
A medida da área da região cinza, em função de x, é:
Provas
Questão presente nas seguintes provas
Uma embalagem feita de papelão tem o formato de um prisma reto de base triangular, cujas medidas
estão apresentadas na figura, a seguir:
Considerando que as abas adicionais necessárias para a colagem e fechamento da embalagem não estão representadas na figura e que será necessário um acréscimo de 10% da área total do prisma de papelão para esses recortes, calcule o total de papelão necessário para cada embalagem, utilizando a aproximação √2 ≅ 1,4.
Assinale a alternativa CORRETA:
Considerando que as abas adicionais necessárias para a colagem e fechamento da embalagem não estão representadas na figura e que será necessário um acréscimo de 10% da área total do prisma de papelão para esses recortes, calcule o total de papelão necessário para cada embalagem, utilizando a aproximação √2 ≅ 1,4.
Assinale a alternativa CORRETA:
Provas
Questão presente nas seguintes provas
A função preço é uma função afim p(x) = ax + b, em que x indica o número de produtos vendidos e
p(x) o preço de cada unidade. A função receita é dada por R(x) = xp(x). Uma loja vende,
semanalmente, 50 unidades de certo aparelho eletrônico por R$ 200,00 cada. Uma pesquisa de
mercado mostrou que, para cada R$ 10,00 de desconto no preço de venda do aparelho, o número de
aparelhos vendidos por semana aumenta em 10 unidades.
Calcule o preço de venda desse aparelho eletrônico para que a receita seja máxima. Marque a alternativa CORRETA:
Calcule o preço de venda desse aparelho eletrônico para que a receita seja máxima. Marque a alternativa CORRETA:
Provas
Questão presente nas seguintes provas
Cadernos
Caderno Container