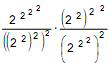
O resultado dessa expressão numérica:

é igual a:

é igual a:
Provas
Questão presente nas seguintes provas
Advogado
60 Questões
Analista Desenvolvimento Gestão - Administração
60 Questões
Analista Desenvolvimento Gestão - Arquitetura
60 Questões
Analista Desenvolvimento Gestão - Contabilidade
60 Questões
Analista Desenvolvimento Gestão - Economia
60 Questões
Analista Desenvolvimento Gestão - Psicologia
60 Questões
Enfermeiro do Trabalho
60 Questões
Engenheiro Ambiental
60 Questões
Engenheiro Civil
60 Questões
Engenheiro de Segurança do Trabalho
60 Questões
Engenheiro Eletricista
60 Questões
Engenheiro Mecânico
60 Questões