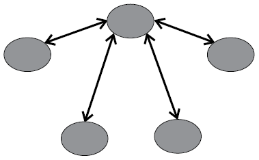
De acordo com Robbins (2011), a comunicação organizacional, em pequenos grupos, aparece de 3 (três) formas. Uma delas é a que se refere à influência que o líder tem para a ação de toda comunicação que acontece no grupo, tendo ele, portanto, uma grande força.
A figura a seguir reproduz graficamente o funcionamento desse tipo de comunicação.

Assinale a alternativa que tem o nome correto dessa rede formal.
Provas
Questão presente nas seguintes provas
Bibliotecário Documentalista
60 Questões
Engenheiro Civil
60 Questões
Físico
60 Questões
Psicólogo - Organizacional e do Trabalho
60 Questões