Foram encontradas 30 questões.
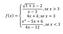
Considere a função real definida por

Para que f seja contínua no ponto de abscissa 3, o valor de k é igual a
Provas
Questão presente nas seguintes provas
Para todo n natural,
é igual a
Provas
Questão presente nas seguintes provas
Considerando como recompensa para os melhores desempenhos em uma Olimpíada Regional de
Matemática, os alunos mais destacados serão contemplados com uma viagem à Disney. Para celebrar
essa conquista estão sendo confeccionadas camisetas que apresentam uma logomarca do Mickey
estabelecendo uma conexão entre a Disney e a Matemática. A logomarca é composta por três círculos:
um maior inscrito no quadrado (simbolizando a cabeça) e outros dois tangentes a esse maior
(representando as orelhas), conforme apresentado na Figura 03.

Para cada tamanho de camisa, o símbolo deve se adaptar à variação no tamanho. Para alcançar isso, é essencial fornecer ao equipamento responsável pela fabricação as medidas dos raios do círculo maior (R) e do menor (r) em relação ao tamanho do lado l do quadrado. Essas medidas, respectivamente, são

Para cada tamanho de camisa, o símbolo deve se adaptar à variação no tamanho. Para alcançar isso, é essencial fornecer ao equipamento responsável pela fabricação as medidas dos raios do círculo maior (R) e do menor (r) em relação ao tamanho do lado l do quadrado. Essas medidas, respectivamente, são
Provas
Questão presente nas seguintes provas
O cálculo do volume da churrasqueira desempenha um papel significativo nas considerações de
transporte. Ter conhecimento do volume pode impactar as decisões logísticas e os requisitos de
transporte. Uma empresa especializada no transporte de churrasqueiras pré-moldadas que são entregues
já montadas requer informações precisas sobre o volume total de um modelo específico de churrasqueira.
Esse modelo é composto por prismas e, na parte superior, apresenta um tronco de pirâmide de altura 40
cm, como ilustrado na Figura a seguir.

O volume do sólido geométrico, em m3 , representado na Figura e desenhado por meio do modelo da churrasqueira, é igual a

O volume do sólido geométrico, em m3 , representado na Figura e desenhado por meio do modelo da churrasqueira, é igual a
Provas
Questão presente nas seguintes provas
Em uma loja de roupas, existem 12 camisetas distintas disponíveis para compra. Um cliente decidiu
adquirir, exatamente, 3 camisetas diferentes para formar um conjunto exclusivo. O cliente está disposto
a incluir, pelo menos, uma camiseta preta, sendo que, entre as 12 opções disponíveis, há 3 camisetas
pretas. O número de escolhas únicas de conjuntos de camisetas que o cliente pode fazer é
Provas
Questão presente nas seguintes provas
Em uma oficina de produção de artesanato, um grupo de 4 artesãos consegue concluir a confecção de 5
peças decorativas em 6 dias, trabalhando 8 horas diárias. Imagine que a demanda aumentou e que eles
precisam produzir 48 peças para atender aos pedidos. Considerando que as mesmas proporções
mantêm-se, com uma carga horária de 8 horas diárias, o tempo mínimo necessário para um grupo de 6
artesãos concluir a fabricação das 48 peças decorativas é
Provas
Questão presente nas seguintes provas
Sendo
, com domínio mais abrangente possível e
, o valor de L é
Provas
Questão presente nas seguintes provas
Em uma caixa, há dez bolas numeradas de 1 a 10. Se você retirar duas bolas consecutivamente, sem
reposição, a probabilidade de ambas as bolas terem números primos (com divisores distintos) é
Provas
Questão presente nas seguintes provas
Seja A um dos pontos de interseção entre a parábola e a reta de coeficiente angular igual a 2, conforme
ilustrado na Figura abaixo, então, o produto das coordenadas de A é


Provas
Questão presente nas seguintes provas
Na competição anual de xadrez do clube da cidade de Assu/RN, a média aritmética das pontuações dos
80 melhores jogadores foi de 7,2 pontos. Entre esses jogadores, 30 conseguiram 6 pontos nas partidas.
A média aritmética das pontuações dos outros 50 jogadores é
Provas
Questão presente nas seguintes provas
Cadernos
Caderno Container