Foram encontradas 50 questões.
No universo dos números naturais, consideram-se duas propriedades p e q:
p: n é um número natural múltiplo de 3
q: a soma dos algarismos de n é um número natural divisível por 3.
Nessas condições, é CORRETO afirmar que a relação de implicação lógica entre
as propriedades p e q é:
Provas
Questão presente nas seguintes provas
Se todo professor é estudioso e existem artistas que são professores, então, partindo dessas premissas lógicas, é CORRETO concluir que
Provas
Questão presente nas seguintes provas
A Câmara Municipal reunir-se-á extraordinariamente quando convocada pelo
Provas
Questão presente nas seguintes provas
A aplicação de penalidade de demissão a servidor da Câmara Municipal é de competência do(a)
Provas
Questão presente nas seguintes provas
638710
Ano: 2018
Disciplina: Direito Administrativo
Banca: FUMARC
Orgão: Câm. Carmo Cajuru-MG
Disciplina: Direito Administrativo
Banca: FUMARC
Orgão: Câm. Carmo Cajuru-MG
Provas:
A inviolabilidade do vereador, por suas opiniões, palavras e votos, PRESSUPÕE
que a manifestação do vereador tenha sido emitida
Provas
Questão presente nas seguintes provas
O crescimento exponencial de uma determinada cultura de bactérias em função
do tempo de observação se expressa por f(t) = Be k t sendo B e K constantes positivas e t é o tempo em horas. Se, no instante inicial da observação, estão presentes
1.500 bactérias, e esse total duplica em 4 horas, então é CORRETO afirmar que o
total de bactérias presentes ao final de seis horas de observação é igual a
Provas
Questão presente nas seguintes provas
Se a sequência de números reais representada por (x, y, z, w) é uma Progressão
Geométrica, na qual w + y = 60 e x + z = 20, então é CORRETO afirmar que o
valor de x e a razão dessa Progressão são, respectivamente, iguais a
Provas
Questão presente nas seguintes provas
O gráfico a seguir registra a temperatura de aquecimento simultâneo, a partir de
duas massas iguais de óleo e água em função do tempo de observação.
Se a água ferve a 100 oC, então é CORRETO afirmar que, no instante em que a água ferve, a temperatura atingida pelo óleo será de
Se a água ferve a 100 oC, então é CORRETO afirmar que, no instante em que a água ferve, a temperatura atingida pelo óleo será de
Provas
Questão presente nas seguintes provas
Se a sequência (x, y, z, k) é uma Progressão Aritmética crescente na qual
x + y = 1 e z + k = 9, então é CORRETO afirmar que o terceiro termo dessa
progressão é um número
Provas
Questão presente nas seguintes provas
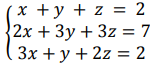
Se M = x.y/z + x em que x, y e z representam a solução do sistema linear a seguir,

então é CORETO afirmar que o valor de M é igual a
Provas
Questão presente nas seguintes provas
Cadernos
Caderno Container