Foram encontradas 103 questões.
Disciplina: Legislação das Casas Legislativas
Banca: Itame
Orgão: Câm. Montividiu-GO
De acordo com o artigo 58 do Regimento Interno da Câmara Municipal de Montividiu:
“As Comissões são Órgãos técnicos constituídos pelos próprios membros da Câmara com a finalidade de examinar matérias em tramitação na Câmara Municipal e emitir pareceres sobre a mesma ou proceder a estudos sobre assuntos de natureza essencial ao Município, investigar fatos de interesse da administração ou ainda representar o Legislativo.”
Considerando o previsto no Regimento Interno sobre as comissões, analise as assertivas e responda corretamente as questão.
Nos termos do artigo 66, os membros das Comissões reunir-se-ão obrigatoriamente a fim de discutir e deliberar sobre as matérias sob sua apreciação, devendo deliberar em sua primeira reunião sobre os dias e horários das demais reuniões, deliberações estas que deverão
Provas
Disciplina: Legislação das Casas Legislativas
Banca: Itame
Orgão: Câm. Montividiu-GO
De acordo com o artigo 58 do Regimento Interno da Câmara Municipal de Montividiu:
“As Comissões são Órgãos técnicos constituídos pelos próprios membros da Câmara com a finalidade de examinar matérias em tramitação na Câmara Municipal e emitir pareceres sobre a mesma ou proceder a estudos sobre assuntos de natureza essencial ao Município, investigar fatos de interesse da administração ou ainda representar o Legislativo.”
Considerando o previsto no Regimento Interno sobre as comissões, analise as assertivas e responda corretamente as questão.
Compõem as Comissões, segundo o artigo 62:
Provas
Disciplina: Legislação das Casas Legislativas
Banca: Itame
Orgão: Câm. Montividiu-GO
De acordo com o artigo 58 do Regimento Interno da Câmara Municipal de Montividiu:
“As Comissões são Órgãos técnicos constituídos pelos próprios membros da Câmara com a finalidade de examinar matérias em tramitação na Câmara Municipal e emitir pareceres sobre a mesma ou proceder a estudos sobre assuntos de natureza essencial ao Município, investigar fatos de interesse da administração ou ainda representar o Legislativo.”
Considerando o previsto no Regimento Interno sobre as comissões, analise as assertivas e responda corretamente as questão.
Provas
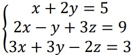
O produto da solução do sistema

Provas
Uma progressão geométrica possui cinco termos, cujo primeiro e o último termo são, respectivamente, 6 e 1536. Assim, o terceiro termo desta progressão é
Provas
Observe as afirmações a seguir:
• Os ângulos A = x + 100° e B = 160° − 3x são opostos pelo vértice.
• Os ângulos C = 6y + 15° e D = 2y + 5° são suplementares.
• Os ângulos E = 2z + 8° e F = 3z − 3° são complementares.
Considerando estas afirmações, temos que x + y + z é igual a
Provas
Seja (0, 1, 2, 3, 6, 11, 20, 37, … ) uma sequência
numérica. Denote por an o termo da n-ésima posição
desta sequência. Desta forma, podemos afirmar que
é igual a
Provas
Provas
Sou sua noite, sou seu quarto Se você quiser dormir Eu me despeço Eu em pedaços Como um silêncio ao contrário [...] Sou seu fado, sou seu bardo Se você quiser ouvir O seu eunuco, o seu soprano Um seu arauto Eu sou o sol da sua noite em claro, Um rádio Eu sou pelo avesso sua pele, O seu casaco Se você vai sair O seu asfalto Se você vai sair Eu chovo Sobre o seu cabelo pelo seu itinerário Sou eu o sou paradeiro Em uns versos que eu escrevo Depois rasgo E depois rasgo
Provas
Provas
Caderno Container