Magna Concursos

Foram encontradas 160 questões.

3585781 Ano: 2022
Disciplina: TI - Desenvolvimento de Sistemas
Banca: Avança SP
Orgão: Câm. Ribeirão Pires-SP
Provas:

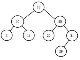
Analise a imagem a seguir de uma árvore binária para responder as próximas 3 questões:

Enunciado 4219489-1

O percurso pré-ordem da árvore binária é:

 

Provas

Questão presente nas seguintes provas
3585780 Ano: 2022
Disciplina: TI - Desenvolvimento de Sistemas
Banca: Avança SP
Orgão: Câm. Ribeirão Pires-SP
Provas:

Estrutura de dados do tipo FIFO (First in/First out) na qual ambas as extremidades são usadas: uma para adicionar novos elementos e outra para removê-los, e as mudanças tem que ser monitoradas no início e no fim:

 

Provas

Questão presente nas seguintes provas
3585779 Ano: 2022
Disciplina: TI - Banco de Dados
Banca: Avança SP
Orgão: Câm. Ribeirão Pires-SP
Provas:

Sobre relacionamentos em bancos de dados.

Qual dos exemplos a seguir é um relacionamento de muitos para muitos?

 

Provas

Questão presente nas seguintes provas
3585778 Ano: 2022
Disciplina: TI - Banco de Dados
Banca: Avança SP
Orgão: Câm. Ribeirão Pires-SP
Provas:

Analise as afirmações a seguir sobre a primeira forma normal:

Uma tabela está na primeira forma normal se:

I – Somente possuir valores atômicos.

II – Existe uma chave primária.

III – Relação não possui atributos multivalorados.

IV – Não há grupos de atributos repetidos.

Estão corretas as afirmações:

 

Provas

Questão presente nas seguintes provas
3585777 Ano: 2022
Disciplina: TI - Banco de Dados
Banca: Avança SP
Orgão: Câm. Ribeirão Pires-SP
Provas:

Sabendo como deve ser uma chave primária. Qual dos atributos da Entidade abaixo pode ser considerado como uma chave primária válida?

FUNCIONARIO(IdFuncionario, NomeFuncionario,EnderecoFuncionario, TelefoneFuncionario, DataNascFuncionario)

 

Provas

Questão presente nas seguintes provas
3585776 Ano: 2022
Disciplina: TI - Banco de Dados
Banca: Avança SP
Orgão: Câm. Ribeirão Pires-SP
Provas:

Sobre atributos em bancos de dados, das alternativas a seguir, qual NÃO é um tipo válido de atributo?

 

Provas

Questão presente nas seguintes provas
3585775 Ano: 2022
Disciplina: TI - Banco de Dados
Banca: Avança SP
Orgão: Câm. Ribeirão Pires-SP
Provas:

Em um banco de dados relacional o componente que identifica o objeto de interesse do sistema e tem “vida” própria, ou seja, a representação abstrata de um objeto do mundo real sobre o qual desejamos guardar informações, é conhecida como:

 

Provas

Questão presente nas seguintes provas
2747855 Ano: 2022
Disciplina: Direito Tributário
Banca: Avança SP
Orgão: Câm. Ribeirão Pires-SP
A respeito das competências tributárias do Município, analise as afirmativas a seguir e assinale a alternativa correta.
I. Os municípios, em casos excepcionais, e mediante lei complementar, poderão instituir empréstimos compulsórios. II. Os municípios poderão instituir contribuições sociais e de intervenção em seu domínio econômico. III. Os municípios poderão instituir taxas sobre o exercício de poder de polícia, as quais, por sua vez, não poderão ter base de cálculo própria de impostos. IV. Os Municípios e o Distrito Federal poderão instituir contribuição, na forma das respectivas leis, para o custeio do serviço de iluminação pública.
 

Provas

Questão presente nas seguintes provas
2747854 Ano: 2022
Disciplina: Direito Tributário
Banca: Avança SP
Orgão: Câm. Ribeirão Pires-SP
De acordo com a Lei nº 5.172/1966, a natureza jurídica específica do tributo é determinada:
 

Provas

Questão presente nas seguintes provas
2747853 Ano: 2022
Disciplina: Direito Tributário
Banca: Avança SP
Orgão: Câm. Ribeirão Pires-SP
Já em suas primeiras disposições, o Código Tributário Nacional traz a definição de tributo. Neste sentido, assinale a alternativa que guarda correlação com o texto legal:
 

Provas

Questão presente nas seguintes provas