Foram encontradas 240 questões.
A biologia humana afeta a cultura de maneiras complexas. A cultura também influencia a biologia, embora possa ser difícil, para o nosso corpo, acompanhar as rápidas mudanças culturais. Por exemplo, no século XX, o fast-food altamente processado substituiu uma dieta mais equilibrada e saudável para muitos. Como o corpo humano evoluiu e foi projetado para um mundo diferente, essa mudança na dieta resultou em um aumento de doenças como diabetes, doenças cardíacas e obesidade.
Do ponto de vista paleoepidemiológico, o evento mais significativo na história de nossa espécie foi a adoção da agricultura. A agricultura surgiu de forma independente em vários lugares do mundo a partir de doze mil anos atrás.
Antes dessa mudança, as pessoas viviam como caçadores-coletores, tendo os cães como seus únicos companheiros animais. Tais pessoas eram muito ativas e tinham uma dieta bem equilibrada e variada, rica em proteínas e fibras, e baixa em calorias e gordura. Esses pequenos grupos experimentaram parasitas, infecções bacterianas e lesões enquanto caçavam animais selvagens e ocasionalmente brigavam entre si. Eles também tiveram de lidar com problemas dentários como desgaste extremo, placa bacteriana e doença periodontal.
Uma coisa com que os caçadores-coletores não tinham de se preocupar muito eram doenças infecciosas virulentas que se movessem rapidamente de pessoa para pessoa em uma grande região geográfica. Patógenos como o vírus da gripe não conseguiam se espalhar efetivamente ou mesmo serem mantidos por populações pequenas, móveis e socialmente isoladas.
O advento da agricultura resultou em populações maiores e sedentárias vivendo em estreita proximidade. Novas doenças puderam florescer nesse novo ambiente. A transição para a agricultura foi caracterizada por alta mortalidade infantil — estima-se que aproximadamente 30% das crianças tenham morrido antes dos cinco anos de idade.
E, pela primeira vez em uma história evolutiva que abrange milhões de anos, diferentes espécies de mamíferos e pássaros se tornaram vizinhos íntimos. Quando começaram a viver com animais recém-domesticados, as pessoas foram trazidas para o ciclo de vida de um novo grupo de doenças, as chamadas zoonoses, que antes eram limitadas a animais silvestres, mas, a partir de então, podiam saltar para os seres humanos.
Acrescentam-se a tudo isso o saneamento precário e uma dieta deficiente, bem como o aumento das conexões entre comunidades distantes por meio da migração e do comércio, especialmente entre as comunidades urbanas. Assim as epidemias de doenças infecciosas conseguiram estabilizar-se pela primeira vez.
Internet: <https://www.revistaplaneta.com.br> (com adaptações).
Acerca dos aspectos linguísticos do texto, julgue o item.
O primeiro período do quarto parágrafo do texto manteria seus sentidos originais e sua correção gramatical se fosse reescrito da seguinte maneira: Os caçadores-coletores não tinham de se preocupar muito com uma coisa: doenças infecciosas virulentas que se movessem rapidamente de pessoa para pessoa em uma grande região geográfica.
Provas
A biologia humana afeta a cultura de maneiras complexas. A cultura também influencia a biologia, embora possa ser difícil, para o nosso corpo, acompanhar as rápidas mudanças culturais. Por exemplo, no século XX, o fast-food altamente processado substituiu uma dieta mais equilibrada e saudável para muitos. Como o corpo humano evoluiu e foi projetado para um mundo diferente, essa mudança na dieta resultou em um aumento de doenças como diabetes, doenças cardíacas e obesidade.
Do ponto de vista paleoepidemiológico, o evento mais significativo na história de nossa espécie foi a adoção da agricultura. A agricultura surgiu de forma independente em vários lugares do mundo a partir de doze mil anos atrás.
Antes dessa mudança, as pessoas viviam como caçadores-coletores, tendo os cães como seus únicos companheiros animais. Tais pessoas eram muito ativas e tinham uma dieta bem equilibrada e variada, rica em proteínas e fibras, e baixa em calorias e gordura. Esses pequenos grupos experimentaram parasitas, infecções bacterianas e lesões enquanto caçavam animais selvagens e ocasionalmente brigavam entre si. Eles também tiveram de lidar com problemas dentários como desgaste extremo, placa bacteriana e doença periodontal.
Uma coisa com que os caçadores-coletores não tinham de se preocupar muito eram doenças infecciosas virulentas que se movessem rapidamente de pessoa para pessoa em uma grande região geográfica. Patógenos como o vírus da gripe não conseguiam se espalhar efetivamente ou mesmo serem mantidos por populações pequenas, móveis e socialmente isoladas.
O advento da agricultura resultou em populações maiores e sedentárias vivendo em estreita proximidade. Novas doenças puderam florescer nesse novo ambiente. A transição para a agricultura foi caracterizada por alta mortalidade infantil — estima-se que aproximadamente 30% das crianças tenham morrido antes dos cinco anos de idade.
E, pela primeira vez em uma história evolutiva que abrange milhões de anos, diferentes espécies de mamíferos e pássaros se tornaram vizinhos íntimos. Quando começaram a viver com animais recém-domesticados, as pessoas foram trazidas para o ciclo de vida de um novo grupo de doenças, as chamadas zoonoses, que antes eram limitadas a animais silvestres, mas, a partir de então, podiam saltar para os seres humanos.
Acrescentam-se a tudo isso o saneamento precário e uma dieta deficiente, bem como o aumento das conexões entre comunidades distantes por meio da migração e do comércio, especialmente entre as comunidades urbanas. Assim as epidemias de doenças infecciosas conseguiram estabilizar-se pela primeira vez.
Internet: <https://www.revistaplaneta.com.br> (com adaptações).
Acerca dos aspectos linguísticos do texto, julgue o item.
A correção gramatical do texto seria prejudicada se fosse empregado o sinal indicativo de crase no vocábulo “a” em “começaram a viver”.
Provas
A biologia humana afeta a cultura de maneiras complexas. A cultura também influencia a biologia, embora possa ser difícil, para o nosso corpo, acompanhar as rápidas mudanças culturais. Por exemplo, no século XX, o fast-food altamente processado substituiu uma dieta mais equilibrada e saudável para muitos. Como o corpo humano evoluiu e foi projetado para um mundo diferente, essa mudança na dieta resultou em um aumento de doenças como diabetes, doenças cardíacas e obesidade.
Do ponto de vista paleoepidemiológico, o evento mais significativo na história de nossa espécie foi a adoção da agricultura. A agricultura surgiu de forma independente em vários lugares do mundo a partir de doze mil anos atrás.
Antes dessa mudança, as pessoas viviam como caçadores-coletores, tendo os cães como seus únicos companheiros animais. Tais pessoas eram muito ativas e tinham uma dieta bem equilibrada e variada, rica em proteínas e fibras, e baixa em calorias e gordura. Esses pequenos grupos experimentaram parasitas, infecções bacterianas e lesões enquanto caçavam animais selvagens e ocasionalmente brigavam entre si. Eles também tiveram de lidar com problemas dentários como desgaste extremo, placa bacteriana e doença periodontal.
Uma coisa com que os caçadores-coletores não tinham de se preocupar muito eram doenças infecciosas virulentas que se movessem rapidamente de pessoa para pessoa em uma grande região geográfica. Patógenos como o vírus da gripe não conseguiam se espalhar efetivamente ou mesmo serem mantidos por populações pequenas, móveis e socialmente isoladas.
O advento da agricultura resultou em populações maiores e sedentárias vivendo em estreita proximidade. Novas doenças puderam florescer nesse novo ambiente. A transição para a agricultura foi caracterizada por alta mortalidade infantil — estima-se que aproximadamente 30% das crianças tenham morrido antes dos cinco anos de idade.
E, pela primeira vez em uma história evolutiva que abrange milhões de anos, diferentes espécies de mamíferos e pássaros se tornaram vizinhos íntimos. Quando começaram a viver com animais recém-domesticados, as pessoas foram trazidas para o ciclo de vida de um novo grupo de doenças, as chamadas zoonoses, que antes eram limitadas a animais silvestres, mas, a partir de então, podiam saltar para os seres humanos.
Acrescentam-se a tudo isso o saneamento precário e uma dieta deficiente, bem como o aumento das conexões entre comunidades distantes por meio da migração e do comércio, especialmente entre as comunidades urbanas. Assim as epidemias de doenças infecciosas conseguiram estabilizar-se pela primeira vez.
Internet: <https://www.revistaplaneta.com.br> (com adaptações).
Acerca dos aspectos linguísticos do texto, julgue o item.
A expressão “dessa mudança” refere-se à mudança de dieta mencionada no primeiro parágrafo do texto.
Provas
A biologia humana afeta a cultura de maneiras complexas. A cultura também influencia a biologia, embora possa ser difícil, para o nosso corpo, acompanhar as rápidas mudanças culturais. Por exemplo, no século XX, o fast-food altamente processado substituiu uma dieta mais equilibrada e saudável para muitos. Como o corpo humano evoluiu e foi projetado para um mundo diferente, essa mudança na dieta resultou em um aumento de doenças como diabetes, doenças cardíacas e obesidade.
Do ponto de vista paleoepidemiológico, o evento mais significativo na história de nossa espécie foi a adoção da agricultura. A agricultura surgiu de forma independente em vários lugares do mundo a partir de doze mil anos atrás.
Antes dessa mudança, as pessoas viviam como caçadores-coletores, tendo os cães como seus únicos companheiros animais. Tais pessoas eram muito ativas e tinham uma dieta bem equilibrada e variada, rica em proteínas e fibras, e baixa em calorias e gordura. Esses pequenos grupos experimentaram parasitas, infecções bacterianas e lesões enquanto caçavam animais selvagens e ocasionalmente brigavam entre si. Eles também tiveram de lidar com problemas dentários como desgaste extremo, placa bacteriana e doença periodontal.
Uma coisa com que os caçadores-coletores não tinham de se preocupar muito eram doenças infecciosas virulentas que se movessem rapidamente de pessoa para pessoa em uma grande região geográfica. Patógenos como o vírus da gripe não conseguiam se espalhar efetivamente ou mesmo serem mantidos por populações pequenas, móveis e socialmente isoladas.
O advento da agricultura resultou em populações maiores e sedentárias vivendo em estreita proximidade. Novas doenças puderam florescer nesse novo ambiente. A transição para a agricultura foi caracterizada por alta mortalidade infantil — estima-se que aproximadamente 30% das crianças tenham morrido antes dos cinco anos de idade.
E, pela primeira vez em uma história evolutiva que abrange milhões de anos, diferentes espécies de mamíferos e pássaros se tornaram vizinhos íntimos. Quando começaram a viver com animais recém-domesticados, as pessoas foram trazidas para o ciclo de vida de um novo grupo de doenças, as chamadas zoonoses, que antes eram limitadas a animais silvestres, mas, a partir de então, podiam saltar para os seres humanos.
Acrescentam-se a tudo isso o saneamento precário e uma dieta deficiente, bem como o aumento das conexões entre comunidades distantes por meio da migração e do comércio, especialmente entre as comunidades urbanas. Assim as epidemias de doenças infecciosas conseguiram estabilizar-se pela primeira vez.
Internet: <https://www.revistaplaneta.com.br> (com adaptações).
Acerca dos aspectos linguísticos do texto, julgue o item.
A substituição do advérbio “Antes” por Anteriormente prejudicaria a correção gramatical do texto.
Provas
A biologia humana afeta a cultura de maneiras complexas. A cultura também influencia a biologia, embora possa ser difícil, para o nosso corpo, acompanhar as rápidas mudanças culturais. Por exemplo, no século XX, o fast-food altamente processado substituiu uma dieta mais equilibrada e saudável para muitos. Como o corpo humano evoluiu e foi projetado para um mundo diferente, essa mudança na dieta resultou em um aumento de doenças como diabetes, doenças cardíacas e obesidade.
Do ponto de vista paleoepidemiológico, o evento mais significativo na história de nossa espécie foi a adoção da agricultura. A agricultura surgiu de forma independente em vários lugares do mundo a partir de doze mil anos atrás.
Antes dessa mudança, as pessoas viviam como caçadores-coletores, tendo os cães como seus únicos companheiros animais. Tais pessoas eram muito ativas e tinham uma dieta bem equilibrada e variada, rica em proteínas e fibras, e baixa em calorias e gordura. Esses pequenos grupos experimentaram parasitas, infecções bacterianas e lesões enquanto caçavam animais selvagens e ocasionalmente brigavam entre si. Eles também tiveram de lidar com problemas dentários como desgaste extremo, placa bacteriana e doença periodontal.
Uma coisa com que os caçadores-coletores não tinham de se preocupar muito eram doenças infecciosas virulentas que se movessem rapidamente de pessoa para pessoa em uma grande região geográfica. Patógenos como o vírus da gripe não conseguiam se espalhar efetivamente ou mesmo serem mantidos por populações pequenas, móveis e socialmente isoladas.
O advento da agricultura resultou em populações maiores e sedentárias vivendo em estreita proximidade. Novas doenças puderam florescer nesse novo ambiente. A transição para a agricultura foi caracterizada por alta mortalidade infantil — estima-se que aproximadamente 30% das crianças tenham morrido antes dos cinco anos de idade.
E, pela primeira vez em uma história evolutiva que abrange milhões de anos, diferentes espécies de mamíferos e pássaros se tornaram vizinhos íntimos. Quando começaram a viver com animais recém-domesticados, as pessoas foram trazidas para o ciclo de vida de um novo grupo de doenças, as chamadas zoonoses, que antes eram limitadas a animais silvestres, mas, a partir de então, podiam saltar para os seres humanos.
Acrescentam-se a tudo isso o saneamento precário e uma dieta deficiente, bem como o aumento das conexões entre comunidades distantes por meio da migração e do comércio, especialmente entre as comunidades urbanas. Assim as epidemias de doenças infecciosas conseguiram estabilizar-se pela primeira vez.
Internet: <https://www.revistaplaneta.com.br> (com adaptações).
Acerca dos aspectos linguísticos do texto, julgue o item.
O termo “Como” veicula a mesma noção que a conjunção conforme e, assim, estabelece uma relação de conformidade entre as informações apresentadas no período em que ele aparece.
Provas
A biologia humana afeta a cultura de maneiras complexas. A cultura também influencia a biologia, embora possa ser difícil, para o nosso corpo, acompanhar as rápidas mudanças culturais. Por exemplo, no século XX, o fast-food altamente processado substituiu uma dieta mais equilibrada e saudável para muitos. Como o corpo humano evoluiu e foi projetado para um mundo diferente, essa mudança na dieta resultou em um aumento de doenças como diabetes, doenças cardíacas e obesidade.
Do ponto de vista paleoepidemiológico, o evento mais significativo na história de nossa espécie foi a adoção da agricultura. A agricultura surgiu de forma independente em vários lugares do mundo a partir de doze mil anos atrás.
Antes dessa mudança, as pessoas viviam como caçadores-coletores, tendo os cães como seus únicos companheiros animais. Tais pessoas eram muito ativas e tinham uma dieta bem equilibrada e variada, rica em proteínas e fibras, e baixa em calorias e gordura. Esses pequenos grupos experimentaram parasitas, infecções bacterianas e lesões enquanto caçavam animais selvagens e ocasionalmente brigavam entre si. Eles também tiveram de lidar com problemas dentários como desgaste extremo, placa bacteriana e doença periodontal.
Uma coisa com que os caçadores-coletores não tinham de se preocupar muito eram doenças infecciosas virulentas que se movessem rapidamente de pessoa para pessoa em uma grande região geográfica. Patógenos como o vírus da gripe não conseguiam se espalhar efetivamente ou mesmo serem mantidos por populações pequenas, móveis e socialmente isoladas.
O advento da agricultura resultou em populações maiores e sedentárias vivendo em estreita proximidade. Novas doenças puderam florescer nesse novo ambiente. A transição para a agricultura foi caracterizada por alta mortalidade infantil — estima-se que aproximadamente 30% das crianças tenham morrido antes dos cinco anos de idade.
E, pela primeira vez em uma história evolutiva que abrange milhões de anos, diferentes espécies de mamíferos e pássaros se tornaram vizinhos íntimos. Quando começaram a viver com animais recém-domesticados, as pessoas foram trazidas para o ciclo de vida de um novo grupo de doenças, as chamadas zoonoses, que antes eram limitadas a animais silvestres, mas, a partir de então, podiam saltar para os seres humanos.
Acrescentam-se a tudo isso o saneamento precário e uma dieta deficiente, bem como o aumento das conexões entre comunidades distantes por meio da migração e do comércio, especialmente entre as comunidades urbanas. Assim as epidemias de doenças infecciosas conseguiram estabilizar-se pela primeira vez.
Internet: <https://www.revistaplaneta.com.br> (com adaptações).
Acerca dos aspectos linguísticos do texto, julgue o item.
O pronome “si” refere-se a “animais selvagens”.
Provas
A biologia humana afeta a cultura de maneiras complexas. A cultura também influencia a biologia, embora possa ser difícil, para o nosso corpo, acompanhar as rápidas mudanças culturais. Por exemplo, no século XX, o fast-food altamente processado substituiu uma dieta mais equilibrada e saudável para muitos. Como o corpo humano evoluiu e foi projetado para um mundo diferente, essa mudança na dieta resultou em um aumento de doenças como diabetes, doenças cardíacas e obesidade.
Do ponto de vista paleoepidemiológico, o evento mais significativo na história de nossa espécie foi a adoção da agricultura. A agricultura surgiu de forma independente em vários lugares do mundo a partir de doze mil anos atrás.
Antes dessa mudança, as pessoas viviam como caçadores-coletores, tendo os cães como seus únicos companheiros animais. Tais pessoas eram muito ativas e tinham uma dieta bem equilibrada e variada, rica em proteínas e fibras, e baixa em calorias e gordura. Esses pequenos grupos experimentaram parasitas, infecções bacterianas e lesões enquanto caçavam animais selvagens e ocasionalmente brigavam entre si. Eles também tiveram de lidar com problemas dentários como desgaste extremo, placa bacteriana e doença periodontal.
Uma coisa com que os caçadores-coletores não tinham de se preocupar muito eram doenças infecciosas virulentas que se movessem rapidamente de pessoa para pessoa em uma grande região geográfica. Patógenos como o vírus da gripe não conseguiam se espalhar efetivamente ou mesmo serem mantidos por populações pequenas, móveis e socialmente isoladas.
O advento da agricultura resultou em populações maiores e sedentárias vivendo em estreita proximidade. Novas doenças puderam florescer nesse novo ambiente. A transição para a agricultura foi caracterizada por alta mortalidade infantil — estima-se que aproximadamente 30% das crianças tenham morrido antes dos cinco anos de idade.
E, pela primeira vez em uma história evolutiva que abrange milhões de anos, diferentes espécies de mamíferos e pássaros se tornaram vizinhos íntimos. Quando começaram a viver com animais recém-domesticados, as pessoas foram trazidas para o ciclo de vida de um novo grupo de doenças, as chamadas zoonoses, que antes eram limitadas a animais silvestres, mas, a partir de então, podiam saltar para os seres humanos.
Acrescentam-se a tudo isso o saneamento precário e uma dieta deficiente, bem como o aumento das conexões entre comunidades distantes por meio da migração e do comércio, especialmente entre as comunidades urbanas. Assim as epidemias de doenças infecciosas conseguiram estabilizar-se pela primeira vez.
Internet: <https://www.revistaplaneta.com.br> (com adaptações).
Acerca dos aspectos linguísticos do texto, julgue o item.
É obrigatório o emprego da vírgula após a expressão “Por exemplo”.
Provas

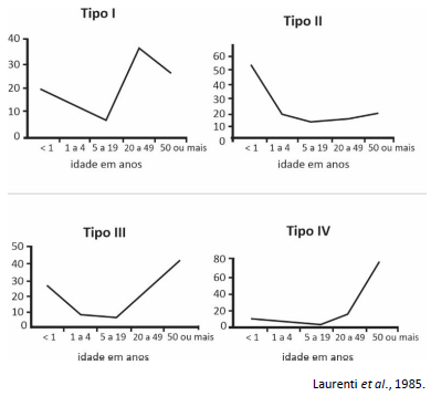
As curvas de mortalidade proporcional receberam o nome de curvas de Nelson Moraes em 1959, em homenagem ao sanitarista brasileiro que as idealizou. São indicativos do nível de saúde de uma determinada população. No que se refere a esse assunto, julgue o item a seguir.
A mortalidade geral no Brasil tem como principais causas as doenças do aparelho circulatório, seguidas por causas externas e neoplasias.
Provas

As curvas de mortalidade proporcional receberam o nome de curvas de Nelson Moraes em 1959, em homenagem ao sanitarista brasileiro que as idealizou. São indicativos do nível de saúde de uma determinada população. No que se refere a esse assunto, julgue o item a seguir.
As curvas de Nelson Moraes são geradas calculando-se o número de óbitos por faixas etárias (< 1 ano / 1-4 anos / 5-19 anos / 20-49 anos / maiores ou iguais a 50 anos de idade), dividido pelo número total de óbitos.
Provas

As curvas de mortalidade proporcional receberam o nome de curvas de Nelson Moraes em 1959, em homenagem ao sanitarista brasileiro que as idealizou. São indicativos do nível de saúde de uma determinada população. No que se refere a esse assunto, julgue o item a seguir.
A curva do tipo 1 mostra nível muito elevado de uma população.
Provas
Caderno Container