Foram encontradas 184 questões.
Texto I

ALVES, E. Brasília: Ministério da Cultura; Secretaria da Identidade Cultural (SID), 2009.
Disponível em: http://www.minc.gov.br. Acesso em: 01 maio 2010.
Disponível em: http://www.minc.gov.br. Acesso em: 01 maio 2010.
Texto II
Em sentido antropológico, não falamos em Cultura, no singular, mas em culturas, no plural, pois a lei, os valores, as crenças, as práticas, as instituições variam de formação social para formação social. Além disso, uma mesma sociedade, por ser temporal e histórica, passa por transformações culturais amplas.
CHAUÍ, M. Convite à Filosofia. São Paulo: Ática, 1995 (fragmento).
A concepção que perpassa a imagem e o texto parte da premissa de que o respeito à diversidade cultural significa
Provas
Questão presente nas seguintes provas
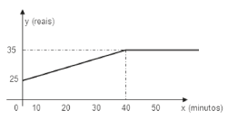
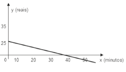
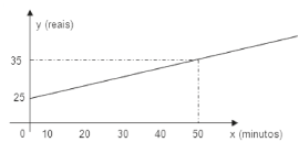
De acordo com os números divulgados pela Agência Nacional de Telecomunicações (Anatel), já há no país 91 celulares em cada grupo de 100 pessoas. Entre as várias operadoras existentes, uma propõe o seguinte plano aos seus clientes: R$ 25,00 mensais para até 40 minutos de conversação mensal e R$ 1,00 por minuto que exceda o tempo estipulado.
Disponível em: http://www.economia.ig.com.br.
Acesso em: 28 abr. 2010 (adaptado).
Acesso em: 28 abr. 2010 (adaptado).
Qual dos gráficos a seguir corresponde aos possíveis gastos mensais (y), em reais, de um cliente dessa operadora de celular, em função do tempo (x) utilizado, em minutos?
Provas
Questão presente nas seguintes provas

Figura I: Disponível em: http://www.dicasdedanca.com.br. Figura II: Disponível em: http://www.canalkids.com.br.
Figura III: Disponível em: http://2.bp.blogspot.com. Figura IV: Disponível em: http://esporaprata.zip.net. Acessos em: 1 maio 2010.
Figura III: Disponível em: http://2.bp.blogspot.com. Figura IV: Disponível em: http://esporaprata.zip.net. Acessos em: 1 maio 2010.
Cada região do país, por meio de suas danças populares, expressa sua cultura, que envolve aspectos sociais, econômicos, históricos, entre outros. As danças provocam a associação entre música e ritmo e o desenvolvimento de maior sensibilidade dos órgãos sensoriais. A ampliação da intensidade da audição aumenta a concentração, possibilitando o processo de transformação do ritmo musical em movimento espontâneo. Como exemplo de danças, tem-se o carimbó, na região Norte, e as danças gaúchas, na região Sul.
Nesse contexto, as danças populares permitem a descontração, o desenvolvimento e o descanso por serem atividades lúdicas que
Provas
Questão presente nas seguintes provas
Em uma sala de aula, três alunos resolveram fazer uma brincadeira de medição. Cada um escolheu um objeto próprio para medir o comprimento da lousa. O primeiro foi até a lousa e, usando o comprimento de um livro, verificou que era possível enfileirar 13 deles e ainda sobrava um pequeno espaço igual à metade do comprimento do livro. O segundo pegou seu lápis e começou a medir a lousa. No final, percebeu que esse comprimento era igual a 20 lápis. O terceiro, para economizar tempo, pegou uma régua graduada e mediu o comprimento do livro que o colega havia usado, obtendo 28 cm.
Com base nessas informações, qual é a medida mais aproximada do comprimento do lápis?
Provas
Questão presente nas seguintes provas
O nascimento da crônica
Há um meio certo de começar a crônica por uma trivialidade. É dizer: Que calor! Que desenfreado calor! Diz-se isto, agitando as pontas do lenço, bufando como um touro, ou simplesmente sacudindo a sobrecasaca. Resvala-se do calor aos fenômenos atmosféricos, fazemse algumas conjeturas acerca do sol e da lua, outras sobre a febre amarela, manda-se um suspiro a Petrópolis, e La glace est rompue; está começada a crônica.
Mas, leitor amigo, esse meio é mais velho ainda do que as crônicas, que apenas datam de Esdras. Antes de Esdras, antes de Moisés, antes de Abraão, Isaque e Jacó, antes mesmo de Noé, houve calor e crônicas. No paraíso é provável, é certo que o calor era mediano, e não é prova do contrário o fato de Adão andar nu. Adão andava nu por duas razões, uma capital e outra provincial. A primeira é que não havia alfaiates, não havia sequer casimiras; a segunda é que, ainda havendo-os, Adão andava baldo ao naipe. Digo que esta razão é provincial, porque as nossas províncias estão nas circunstâncias do primeiro homem.
ASSIS, M. In: SANTOS, J .F. As cem melhores crônicas brasileiras. Rio de Janeiro: Objetiva, 2007 (fragmento).
Um dos traços fundamentais da vasta obra literária de Machado de Assis reside na preocupação com a expressão e com a técnica de composição. Em O nascimento da crônica, Machado permite ao leitor entrever um escritor ciente das características da crônica, como
Provas
Questão presente nas seguintes provas
Foi sempre um gaúcho quebralhão, e despilchado sempre, por ser muito de mãos abertas. Se numa mesa de primeira ganhava uma ponchada de balastracas, reunia a gurizada da casa, fazia pi! pi! pi! como pra galinhas e semeava as moedas, rindo-se do formigueiro que a miuçada formava, catando as pratas no terreiro. Gostava de sentar um laçaço num cachorro, mas desses laçaços de apanhar da palheta à virilha, e puxado a valer, tanto que o bicho que o tomava, de tanto sentir dor, e lombeando-se, depois de disparar um pouco é que gritava, num caim! caim! caim! de desespero.
LOPES NETO, J. S. Contrabandista. In: SALES, H. (org). Antologia de contos brasileiros. Rio de Janeiro: Ediouro, 2001 (adaptado).
A língua falada no Brasil apresenta vasta diversidade, que se manifesta de acordo com o lugar, a faixa etária, a classe social, entre outros elementos. No fragmento do texto literário, a variação linguística destaca-se
Provas
Questão presente nas seguintes provas
Uma residência possui dois aparelhos de TV, duas geladeiras, um computador, um ferro elétrico e oito lâmpadas incandescentes. A resistência elétrica de cada equipamento está representada pela figura I. A tensão elétrica que alimenta a rede da residência é de 120 V.

Um eletricista fez duas ligações, que se encontram representadas pelas figuras II e III.

Com base nas informações, verifica-se que a corrente indicada pelo amperímetro da figura
Provas
Questão presente nas seguintes provas
Numa sementeira, cinco canteiros quadrados serão preparados para plantar, em cada um, dois tipos de sementes: A e B. Os canteiros estão representados segundo as figuras:

Suponha que cada canteiro tem 1 m² de área e que nas regiões sombreadas de cada canteiro serão plantadas as sementes do tipo A. Qual o total da área, em m², reservada para as sementes do tipo B?
Provas
Questão presente nas seguintes provas
Em Brasília, foram mais de cem mil pessoas saudando os campeões. A seleção voou diretamente da Cidade do México para Brasília. Na festa da vitória, Médici presenteou os jogadores com dinheiro e posou para os fotógrafos com a taça Jules Rimet nas mãos. Até uma Assessoria Especial de Relações Públicas (AERP) chegou a ser criada para mudar a imagem do governo e cristalizar, junto à opinião pública, a imagem de um país vitorioso, alavancando campanhas que criavam o mito do “Brasil grande” que “vai para frente”. Todos os jogadores principais da Copa de 70 foram usados como garotos-propaganda.
Bahiana, A. M. Almanaque Anos 70. Rio de Janeiro: Ediouro, 2006 (adaptado).
A visibilidade dos esportes, especialmente do futebol, nos meios de comunicação de massa, tornou-os uma questão de Estado para os governos militares no Brasil, que buscavam, assim,
Provas
Questão presente nas seguintes provas
Uma agência de viagens de São Paulo (SP) está organizando um pacote turístico com destino à cidade de Foz do Iguaçu (PR) e fretou um avião com 120 lugares. Do total de lugares, reservou !$ { \large 2 \over 5} !$ das vagas para as pessoas que residem na capital do estado de São Paulo, !$ { \large 3 \over 8} !$ para as que moram no interior desse estado e o restante para as que residem fora dele.
Quantas vagas estão reservadas no avião para as pessoas que moram fora do estado de São Paulo?
Provas
Questão presente nas seguintes provas
Cadernos
Caderno Container