Magna Concursos

Foram encontradas 399 questões.

796989 Ano: 2015
Disciplina: TI - Banco de Dados
Banca: IF-SUL
Orgão: IF-SUL
Considere as seguintes afirmações sobre o modelo de dados relacional e as restrições de integridade em bancos de dados relacionais:
I. O modelo relacional representa o banco de dados como uma coleção de relações. Cada relação é definida como um conjunto de tuplas obrigatoriamente ordenado.
II. A restrição de integridade de entidade determina que nenhum valor de chave primária pode ser NULL.
III. A restrição de integridade referencial é especificada entre duas relações e usada para manter a consistência entre tuplas nessas duas relações. Informalmente, a restrição de integridade referencial afirma que uma tupla em uma relação que referencia outra relação precisa se referir a uma tupla existente nessa relação.
 

Provas

Questão presente nas seguintes provas
796903 Ano: 2015
Disciplina: Engenharia Eletrônica
Banca: IF-SUL
Orgão: IF-SUL
O projeto de um controlador para um determinado sistema pode atender a diversos requisitos de estabilidade e desempenho do sistema final. Sobre as afirmativas abaixo:
I. Sistemas térmicos são geralmente lineares em sua essência.
II. Um sistema linear satisfaz sempre as propriedades de superposição e homogeneidade.
III. Dentre as não linearidades comuns em sistemas físicos, estão o atraso de transporte, a saturação e a variação de parâmetros no tempo.
Está (ão) correta (s) apenas a (s) afirmativa (s)
 

Provas

Questão presente nas seguintes provas
796895 Ano: 2015
Disciplina: Química
Banca: IF-SUL
Orgão: IF-SUL
Você está se preparando para acampar e precisa levar gás butano para aquecer água. Considere que, para aquecer 1 L de água de 17°C até a temperatura de ebulição (ignorando as perdas de calor), é necessário obter 400 kJ de calor e que a equação termoquímica de combustão do butano é: 2 C4H10 (g) + 13 O2 (g) → 8 CO2 (g) + 10 H2O (l) !$ \Delta H° !$ = - 5756 kJ
A quantidade, em massa (g), de butano necessária para aquecer a água será aproximadamente igual a
 

Provas

Questão presente nas seguintes provas
796856 Ano: 2015
Disciplina: Física
Banca: IF-SUL
Orgão: IF-SUL
Duas esferas condutoras A e B possuem raios 1,0 cm e 3,0 cm, respectivamente. Inicialmente, a esfera A encontra-se neutra enquanto a esfera B possui uma carga !$ q_B = -16μC !$ .
Qual é o módulo da força elétrica resultante que age entre elas, após colocarmo-las em contato e separarmo-las por uma distância de 20 cm? Considere que as esferas encontram-se no vácuo.
 

Provas

Questão presente nas seguintes provas
796812 Ano: 2015
Disciplina: Engenharia Química
Banca: IF-SUL
Orgão: IF-SUL
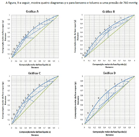
O número de pratos teóricos de uma coluna de destilação para uma mistura de benzeno-tolueno foi calculado utilizando a resolução gráfica de McCabe-Thiele, considerando-se as hipóteses a seguir:
- a coluna não apresenta fugas térmicas;
- a coluna opera a pressão de 760 mmHg, sendo todas as quedas de pressão, dentro da coluna, desprezíveis;
- a composição molar da alimentação é de 47% de benzeno, estando hipoteticamente numa temperatura e pressão que fazem a mistura encontrar-se no estado de líquido saturado;
- o condensador total condensa todo o vapor sem resfriar o condensado abaixo de seu ponto de ebulição;
- o calor fornecido à mistura é efetuado por um refervedor parcial e considerado como um prato de separação.
Enunciado 796812-1
Figura 9: Diagramas y-x para benzeno e tolueno a uma pressão de 760 mmHg, usados na determinação do número teórico de pratos, através do método de resolução gráfica de McCabe-Thiele.
Sabendo que a coluna real possui 14 pratos e considerando as observações anteriormente mencionadas, a eficiência global aproximada da coluna e o gráfico que melhor representa a resolução por McCabe-Thiele são
 

Provas

Questão presente nas seguintes provas
796676 Ano: 2015
Disciplina: Química
Banca: IF-SUL
Orgão: IF-SUL

Niels Bohr foi um físico dinamarquês responsável por aperfeiçoar a teoria atômica proposta por Rutherford (sistema planetário), que se tornou falha para explicar, dentre outras coisas, o porquê de o elétron não perder energia durante os movimentos de rotação em torno do núcleo e colidir com ele, mas permanecer em órbita constante sem tornar o átomo instável. Baseando-se nos fundamentos de Max Planck, Bohr reformulou a teoria atômica estabelecendo alguns postulados.

Qual alternativa apresenta corretamente um dos postulados de Bohr?

 

Provas

Questão presente nas seguintes provas
796673 Ano: 2015
Disciplina: TI - Redes de Computadores
Banca: IF-SUL
Orgão: IF-SUL
Qual é o maior raio da 1ª zona de Fresnel para uma onda de rádio com frequência de 1,5GHz num percurso de 40km?
 

Provas

Questão presente nas seguintes provas
796624 Ano: 2015
Disciplina: Desenho Técnico e Industrial
Banca: IF-SUL
Orgão: IF-SUL
Qual formato de arquivo gerado por exportação, no AutoCAD, possibilita passar um projeto do AutoCAD para o 3DS Max sem que os materiais ou mapeamentos sejam perdidos?
 

Provas

Questão presente nas seguintes provas
796608 Ano: 2015
Disciplina: Arquitetura
Banca: IF-SUL
Orgão: IF-SUL
Assinale com V (verdadeiro) e F (falso) as afirmações apresentadas.
Ao projetar-se uma peça para ser fundida, deve-se:
( ) Evitar cantos e ângulos. Curvas e filetes devem ser utilizados pelo designer para assegurar o fluxo uniforme do metal líquido. Áreas planas também devem ser evitadas, pois têm tendência a dobrar e, frequentemente, resultam em superfícies de má qualidade.
( ) Prever conicidade para melhor confecção do molde. O chamado “ângulo de saída” recomendado é de 3 graus.
( ) Deixar sobremetal para posterior usinagem.
( ) Desconsiderar a contração do metal ao solidificar, uma vez que a contração do material é mínima.
A sequência correta de preenchimento dos parênteses, de cima para baixo, é
 

Provas

Questão presente nas seguintes provas
Um volume de 10,0 mL de uma solução alcoólica é diluído em água até 500,0 mL (solução A). Uma alíquota de 10,0 mL da solução A é destilada e o etanol é coletado em 50,00 mL de uma solução ácida (H2SO4) contendo K2Cr2O7 0,1000 eq L-1, onde é oxidado à ácido acético. O excesso de K2Cr2O7 não reagido é titulado com 16,24 mL de Fe2+ 0,1006 eq L-1, conforme descrevem as reações abaixo:
2Cr2O72- + 3C2H5OH + 16H+ → 4Cr3+ + 3CH3COOH + 11H2O
Cr2O72- + 6Fe2+ + 14H+ → 2Cr3+ + 6Fe3+ + 7H2O
Qual a percentagem (%p/v) de etanol na amostra?
 

Provas

Questão presente nas seguintes provas