Magna Concursos

Foram encontradas 525 questões.

2161167 Ano: 2022
Disciplina: Jornalismo
Banca: FUNDATEC
Orgão: IPE Saúde-RS

No contexto da comunicação empresarial, as organizações têm valorizado cada vez mais os chamados ativos intangíveis, que correspondem à identidade, imagem e reputação, além do relacionamento com os públicos de interesse (stakeholders). Acerca destes três conceitos, analise as assertivas abaixo, a partir da visão de Bueno (2009):

I. A identidade corporativa seria a personalidade da organização, que está diretamente ligada à sua cultura e ao seu processo de gestão. Inclui também seus produtos e serviços, portifólio, canais de relacionamento, entre outros.

II. A imagem é uma representação mental consolidada e amadurecida da organização. É uma leitura mais aprofundada e, na prática, apenas um número reduzido de empresas consegue chegar a esse patamar.

III. A reputação é a representação mental da organização, construída por um indivíduo ou grupo por meio de percepções e experiências concretas. Acumula aspectos cognitivos, afetivos e valorativos, e expressa uma leitura geralmente superficial da identidade da corporação.

Quais estão corretas?

 

Provas

Questão presente nas seguintes provas
2161166 Ano: 2022
Disciplina: Jornalismo
Banca: FUNDATEC
Orgão: IPE Saúde-RS

Nos últimos anos, o trabalho de assessoria de imprensa vem se aperfeiçoando, de modo que o simples envio indiscriminado de releases não é suficiente para as organizações que de fato desejam visibilidade na mídia. Nesse contexto, o planejamento em comunicação deve ser usado como instrumento da assessoria de imprensa de qualquer organização pública ou privada. Em relação ao planejamento em comunicação, analise as assertivas que seguem e assinale V, se verdadeiras, ou F, se falsas.

( ) O papel do assessor de imprensa é gerir o relacionamento entre as fontes e seus públicos de interesse.

( ) A gestão da comunicação deve estar conectada à cultura organizacional, pois é uma área estratégica.

( ) Os gestores de outras áreas costumam valorizar a comunicação, dando espaço para a tomada de decisão e garantindo investimento financeiro.

( ) A pesquisa de comunicação junto aos públicos da organização é uma estratégia para conhecer e melhorar os processos de gestão, mas geralmente fica mais restrita ao meio acadêmico.

A ordem correta de preenchimento dos parênteses, de cima para baixo, é:

 

Provas

Questão presente nas seguintes provas
2161165 Ano: 2022
Disciplina: Jornalismo
Banca: FUNDATEC
Orgão: IPE Saúde-RS
O texto jornalístico deve primar pela clareza e objetividade nas informações. Dessa forma, as principais características do texto jornalístico são:
 

Provas

Questão presente nas seguintes provas
2161164 Ano: 2022
Disciplina: Jornalismo
Banca: FUNDATEC
Orgão: IPE Saúde-RS

Sobre os gêneros jornalísticos, classificados por Marques de Melo e Assis (2016), assinale V, se verdadeiras, ou F, se falsas, para as assertivas a seguir.

( ) O gênero informativo visa à prestação de serviços e ao auxílio na tomada de decisões cotidianas, tais como indicadores, cotação, roteiro e serviços.

( ) O gênero opinativo tem finalidade educativa e esclarecedora, aprofunda e analisa o tema abordado.

( ) O gênero interpretativo visa ao debate de ideias, através de argumentação e posicionamento de uma pessoa ou do veículo, acerca de algum assunto relevante.

( ) O gênero diversional traz para pauta temas mais leves, para entreter, como as histórias de interesse humano.

( ) O gênero utilitário é baseado no factual, primando pela objetividade e imparcialidade no relato dos fatos, tendo como exemplo a entrevista.

A ordem correta de preenchimento dos parênteses, de cima para baixo, é:

 

Provas

Questão presente nas seguintes provas
2161163 Ano: 2022
Disciplina: Jornalismo
Banca: FUNDATEC
Orgão: IPE Saúde-RS

A entrevista é uma conversa, em formato de perguntas e respostas, entre o jornalista e uma fonte que detém informações sobre determinado tema de interesse público. Sobre a entrevista jornalística, analise as assertivas a seguir:

I. O termo fonte no jornalismo pode ser definido como alguém que testemunhou um fato ou é especialista em determinado assunto e tem interesse em falar na mídia para se promover.

II. As fontes para as entrevistas podem ser divididas entre primárias, aquelas que estão mais próximas do acontecimento, geralmente testemunham o fato; e secundárias, as que são consultadas para a construção da pauta e o aprofundamento da matéria.

III. Há entrevistas de diferentes tipos, tais como a ritual, geralmente breve, mais concentrada em quem é o entrevistado do que no que ele tem a dizer, por exemplo, entrevistas com jogadores de futebol após uma partida; e a temática, que aborda um assunto específico, sobre o qual se supõe que o entrevistado tenha autoridade para falar.

Quais estão corretas?

 

Provas

Questão presente nas seguintes provas
2161162 Ano: 2022
Disciplina: Jornalismo
Banca: FUNDATEC
Orgão: IPE Saúde-RS

O Capítulo II do Código de Ética dos Jornalistas fala da conduta profissional. Com base no referido capítulo, analise as assertivas a seguir:

I. É dever do jornalista resguardar o sigilo da fonte.

II. O jornalista deve defender o livre exercício da profissão.

III. O jornalista pode valer-se da condição de jornalista para obter vantagens pessoais.

Quais estão corretas?

 

Provas

Questão presente nas seguintes provas
Assinale a alternativa que se refere corretamente a uma das garantias de prioridade estabelecidas pelo Art. 4º da Lei nº 8.069/1990.
 

Provas

Questão presente nas seguintes provas
2161130 Ano: 2022
Disciplina: Contabilidade Geral
Banca: FUNDATEC
Orgão: IPE Saúde-RS

Uma das formas dos usuários das demonstrações contábeis obterem informações sobre os demonstrativos contábeis corresponde à análise das demonstrações financeiras e econômicas por meio de índices. Dentre os índices, existem os grupos básicos assim denominados: liquidez, endividamento, e, rentabilidade. Em relação aos índices de liquidez, analise as assertivas a seguir e assinale a alternativa correta.

I. O índice de liquidez imediata avalia o resultado da divisão do disponível (caixa e equivalentes) pelo passivo circulante.

II. O índice de liquidez geral considera apenas ativos e passivos de curto prazo na fórmula para obtenção do índice.

III. O índice de liquidez seca analisa a capacidade de pagamento das dívidas de curto prazo considerando os ativos circulantes menos os estoques.

 

Provas

Questão presente nas seguintes provas
2161105 Ano: 2022
Disciplina: Ciências Atuariais
Banca: FUNDATEC
Orgão: IPE Saúde-RS
Assinale a alternativa que corresponde ao instrumento cuja finalidade é de restabelecer ao interessado o equilíbrio econômico perturbado pela materialização de algum risco (evento).
 

Provas

Questão presente nas seguintes provas
2161104 Ano: 2022
Disciplina: Ciências Atuariais
Banca: FUNDATEC
Orgão: IPE Saúde-RS
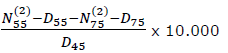
Adotando a formulação pelas comutações subanuais, o cálculo do enunciado 1350425-1, para o benefício de uma renda de R$ 10.000,00 semestral, postecipada, diferida de 10 anos e temporária de 20 anos, é dado pela seguinte formulação:
 

Provas

Questão presente nas seguintes provas