Foram encontradas 2.327 questões.
Um instrumento de medição industrial, segundo as informações de seu manual, possui faixa de medida de 100 V a 300 V, com a exatidão de 0,4% do span. Ao se medir a tensão entre dois terminais elétricos, a leitura observada no citado instrumento foi de 250 V. Com base nas características citadas, o verdadeiro valor da tensão medida, em volts, estará no intervalo cujos extremos mínimo e máximo são, respectivamente,
Provas
Questão presente nas seguintes provas
Para análise de estabilidade em sistemas lineares, considere a função de transferência de um sistema em malha fechada, dada por !$ H(s)=large{s^3-4s-11 over s^5+s^4+4s^3+2s^2+3s+k-1} !$, onde a constante . Para garantir a estabilidade desse sistema, o intervalo de variação de k deve ser
Provas
Questão presente nas seguintes provas
Considere um sistema de segunda ordem com a seguinte função de transferência:
!$ G(s)=large{9 over s^2+6s+9} !$
A partir da análise de estabilidade e de desempenho, afirma-se que G(s) é
Provas
Questão presente nas seguintes provas
Deseja-se transmitir, digitalmente, um sinal de vídeo cujo espectro é limitado à faixa de 0 a 4 MHz. Na conversão A/D desse sinal, utilizam-se um amostrador que opera na taxa de Nyquist e um codificador que gera na saída, para cada amostra na sua entrada, uma palavra binária de comprimento fixo igual a 12 bits. Para que a interferência entre símbolos (IES) no receptor seja desprezível, admite-se que a largura de banda do canal deve ser, no mínimo, igual a !$ large{1 over T_s} !$, onde !$ T_s !$ é o intervalo de sinalização na saída do modulador, ou, em outras palavras, o intervalo entre
símbolos (sinais) gerados pelo modulador.
Dispondo-se de um canal com largura de banda de 25 MHz, o método de modulação que atende à condição para que a IES seja desprezível é o
Provas
Questão presente nas seguintes provas
A resposta de um sistema linear à aplicação de um impulso !$ delta(t) !$ (delta de Dirac) é dada por !$ h(t)= A delta (t-t_0) !$, onde A e !$ t_0 !$ são constantes positivas. Admitindo-se que este sistema tenha como entrada um sinal senoidal definido por !$ x(t)=B cos(2 pi f_0t) !$, o espectro do sinal de saída, correspondente a essa entrada, é dado pela expressão
Provas
Questão presente nas seguintes provas
Observe a figura abaixo. Ela indica dois esquemas de codificação digital, utilizados em redes de computadores.
• Em I, a codificação mantém um pulso de voltagem constante pela duração de um tempo de bit. Os dados em si são codificados como a presença ou ausência de uma transição de sinal no início do tempo de bit. Uma transição no início de um tempo de bit denota um 1 binário, enquanto que nenhuma transição indica um 0 binário. Essa codificação é utilizada em conexões ISDN de baixa velocidade.
• Em II, existe uma transição no meio de cada período de bit. A transição de meio de bit serve como um mecanismo de sincronização e também como dados. Uma transição de alto para baixo representa 0, enquanto uma transição de baixo para alto representa 1. Essa codificação é utilizada em LANs Ethernet.

As codificações I e II são conhecidas, respectivamente, como
Provas
Questão presente nas seguintes provas
Uma sub-rede de computadores foi implementada com acesso à Internet, sendo configurada por meio da notação CIDR, com o IP 192.227.75.160/28. A máscara que essa sub-rede está utilizando e seu endereço de broadcasting são, respectivamente,
Provas
Questão presente nas seguintes provas
A figura abaixo mostra um conector usado para conectar o cabo de fibra óptica aos dispositivos de rede.

Ele utiliza um sistema de travamento de baioneta, mais confiável que o sistema conhecido como empurra/puxa. Esse conector é conhecido pela sigla
Provas
Questão presente nas seguintes provas
- Protocolos e ServiçosConfiguração de RedeDHCP: Dynamic Host Configuration Protocol
- TCP/IPSub-redes, Máscara e Endereçamento IP
Nas redes de computadores Ethernet, os servidores utilizam um serviço que permite a alocação dinâmica de endereços IPs. O servidor seleciona um endereço IP a partir do pool de endereços disponíveis, atribuindo um endereço ao cliente e acrescentando uma entrada no banco de dados dinâmico. Essa situação normalmente acontece quando um host muda de uma rede para outra ou é conectado e desconectado de uma rede, como no caso de um provedor de serviços. Nesse esquema, endereços IP são fornecidos de forma temporária por um período de tempo limitado. Esse serviço é conhecido pela sigla
Provas
Questão presente nas seguintes provas

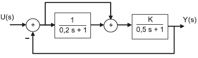
O diagrama em blocos da figura acima mostra um sistema em malha fechada, onde U(s) é o sinal de entrada e Y(s), o sinal de saída. O valor do ganho K, para que os polos da função de transferência !$ large{Y(s) over U(s)} !$ sejam complexos, conjugados e com parte real igual −6,5, é
Provas
Questão presente nas seguintes provas
Cadernos
Caderno Container