Foram encontradas 296 questões.
3314991
Ano: 2024
Disciplina: Legislação Municipal
Banca: FUNDATEC
Orgão: Pref. Barra Guarita-RS
Disciplina: Legislação Municipal
Banca: FUNDATEC
Orgão: Pref. Barra Guarita-RS
Provas:
Conforme o Estatuto Municipal dos Servidores Públicos de Barra do Guarita, o dia do
servidor público é comemorado em:
Provas
Questão presente nas seguintes provas
3314990
Ano: 2024
Disciplina: Legislação Municipal
Banca: FUNDATEC
Orgão: Pref. Barra Guarita-RS
Disciplina: Legislação Municipal
Banca: FUNDATEC
Orgão: Pref. Barra Guarita-RS
Provas:
Segundo o Estatuto Municipal dos Servidores Públicos de Barra do Guarita, as ações
disciplinares prescrevem em:
I. Um ano, quanto às infrações puníveis com demissão, cassação de aposentadoria e disponibilidade ou destituição de função de confiança.
II. Noventa dias, quanto à suspensão.
III. Cinco anos, quanto à advertência.
Quais estão INCORRETAS?
I. Um ano, quanto às infrações puníveis com demissão, cassação de aposentadoria e disponibilidade ou destituição de função de confiança.
II. Noventa dias, quanto à suspensão.
III. Cinco anos, quanto à advertência.
Quais estão INCORRETAS?
Provas
Questão presente nas seguintes provas
3314989
Ano: 2024
Disciplina: Legislação Municipal
Banca: FUNDATEC
Orgão: Pref. Barra Guarita-RS
Disciplina: Legislação Municipal
Banca: FUNDATEC
Orgão: Pref. Barra Guarita-RS
Provas:
Conforme o Código de Postura do Município de Barra do Guarita, licenciar e fiscalizar
todo e qualquer tipo de instalação de aparelhos sonoros, engenhos que produzam ruídos, instrumentos
de alerta, advertência, propaganda ou sons de qualquer natureza que, pela intensidade de volume,
possam constituir perturbação ao sossego público ou da vizinhança compete ao(à):
Provas
Questão presente nas seguintes provas
3314988
Ano: 2024
Disciplina: Legislação Municipal
Banca: FUNDATEC
Orgão: Pref. Barra Guarita-RS
Disciplina: Legislação Municipal
Banca: FUNDATEC
Orgão: Pref. Barra Guarita-RS
Provas:
De acordo com o Código de Postura do Município de Barra do Guarita, as farmácias
e drogarias deverão satisfazer as seguintes exigências:
I. Ter as paredes pintadas em cores claras.
II. Implementar um sistema de gestão de filas que permita aos clientes acompanhar sua posição na fila e receber notificações quando for sua vez de ser atendido.
III. Implementar medidas de segurança, como câmeras de vigilância e sistemas de alarme, para proteger tanto os funcionários quanto os produtos da farmácia contra roubo ou intrusão.
Quais estão corretas?
I. Ter as paredes pintadas em cores claras.
II. Implementar um sistema de gestão de filas que permita aos clientes acompanhar sua posição na fila e receber notificações quando for sua vez de ser atendido.
III. Implementar medidas de segurança, como câmeras de vigilância e sistemas de alarme, para proteger tanto os funcionários quanto os produtos da farmácia contra roubo ou intrusão.
Quais estão corretas?
Provas
Questão presente nas seguintes provas
3314987
Ano: 2024
Disciplina: Legislação Municipal
Banca: FUNDATEC
Orgão: Pref. Barra Guarita-RS
Disciplina: Legislação Municipal
Banca: FUNDATEC
Orgão: Pref. Barra Guarita-RS
Provas:
Segundo o Código de Postura do Município de Barra do Guarita, sobre a higiene nos
motéis, hotéis, pensões, restaurantes, cafés e estabelecimentos congêneres, analise as assertivas
abaixo e assinale a alternativa correta.
I. Deve-se lavar louças e talheres em água corrente, não sendo permitido, sob qualquer hipótese ou pretexto, a lavagem em baldes, tonéis ou vasilhames.
II. Deve-se preservar o uso individual dos guardanapos e das toalhas.
III. Deve-se manter os funcionários ou garçons limpos e obrigatoriamente uniformizados, utilizando uniformes de cor azul para homens e cor rosa para mulheres.
I. Deve-se lavar louças e talheres em água corrente, não sendo permitido, sob qualquer hipótese ou pretexto, a lavagem em baldes, tonéis ou vasilhames.
II. Deve-se preservar o uso individual dos guardanapos e das toalhas.
III. Deve-se manter os funcionários ou garçons limpos e obrigatoriamente uniformizados, utilizando uniformes de cor azul para homens e cor rosa para mulheres.
Provas
Questão presente nas seguintes provas
3314986
Ano: 2024
Disciplina: Raciocínio Lógico
Banca: FUNDATEC
Orgão: Pref. Barra Guarita-RS
Disciplina: Raciocínio Lógico
Banca: FUNDATEC
Orgão: Pref. Barra Guarita-RS
Provas:
Em uma sala, cinco pessoas, Alice, Bianca, Carlos, Dora e Elisa, estão sentadas em
poltronas sequencialmente numeradas de 1 a 5. Analise as seguintes informações:
• Alice está sentada na poltrona imediatamente à direita de Bianca.
• Carlos está na poltrona número 3.
• Dora está na poltrona número 1.
Com base nessas informações, quem está sentado na poltrona número 5?
• Alice está sentada na poltrona imediatamente à direita de Bianca.
• Carlos está na poltrona número 3.
• Dora está na poltrona número 1.
Com base nessas informações, quem está sentado na poltrona número 5?
Provas
Questão presente nas seguintes provas
Considere a função real quadrática f(x) = 2x
2 − 3x + 5. Em relação ao gráfico dessa
função, analise as assertivas abaixo e assinale V, se verdadeiras, ou F, se falsas.
( ) O vértice da parábola está localizado no ponto (3,-4).
( ) O eixo de simetria é a reta x = 3 / 4 .
( ) O valor máximo da função é 5.
A ordem correta de preenchimento dos parênteses, de cima para baixo, é:
( ) O vértice da parábola está localizado no ponto (3,-4).
( ) O eixo de simetria é a reta x = 3 / 4 .
( ) O valor máximo da função é 5.
A ordem correta de preenchimento dos parênteses, de cima para baixo, é:
Provas
Questão presente nas seguintes provas
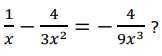
Qual valor de x satisfaz a equação 

Provas
Questão presente nas seguintes provas
3314983
Ano: 2024
Disciplina: Matemática Financeira
Banca: FUNDATEC
Orgão: Pref. Barra Guarita-RS
Disciplina: Matemática Financeira
Banca: FUNDATEC
Orgão: Pref. Barra Guarita-RS
Provas:
Uma quantia de R$ 5.000,00 foi aplicada a juros simples, durante 6 meses, a uma
taxa de 1,2% ao mês. Qual é o montante final dessa aplicação?
Provas
Questão presente nas seguintes provas
3314982
Ano: 2024
Disciplina: Raciocínio Lógico
Banca: FUNDATEC
Orgão: Pref. Barra Guarita-RS
Disciplina: Raciocínio Lógico
Banca: FUNDATEC
Orgão: Pref. Barra Guarita-RS
Provas:
Seja S o conjunto dos números naturais múltiplos de 3 e menores que 30, e T o
conjunto dos números pares menores que 20, qual é a interseção entre os conjuntos S e T?
Provas
Questão presente nas seguintes provas
Cadernos
Caderno Container