Foram encontradas 50 questões.
Disciplina: Agronomia (Engenharia Agronômica)
Banca: FURB
Orgão: Pref. Blumenau-SC
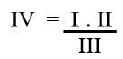
O cálculo de volume para Topografia consiste em se calcular o volume de uma determinada quantidade de terra, característico daquele lugar. O cálculo do volume de terra a mover numa estrada, é realizado supondo a existência de sólidos geométricos. O volume do prismoide apresentado na figura abaixo pode ser calculado mediante a seguinte equação:

Provas
Disciplina: Agronomia (Engenharia Agronômica)
Banca: FURB
Orgão: Pref. Blumenau-SC
Marque a alternativa que possui a transformação correta do ângulo em graus, minutos e segundos abaixo para graus e frações decimais de grau: 34o 28' 57"
Provas
Disciplina: Desenho Técnico e Industrial
Banca: FURB
Orgão: Pref. Blumenau-SC
O uso e aplicação do AutoCAD para topografia é importante para o discente gerar desenhos e bases para anteprojetos e projetos referentes à ocupação de uma superfície e diversas aplicações. Entre as particularidades para a sua aplicação, está:
Provas
Disciplina: Agronomia (Engenharia Agronômica)
Banca: FURB
Orgão: Pref. Blumenau-SC
Na sequência das etapas para o cálculo e ajuste de uma poligonal fechada, após a determinação das coordenadas do ponto de partida e da orientação da poligonal, o que se pode afirmar que cálculo dos azimutes:
Provas
Considere as afirmativas relacionadas ao Estatuto dos Servidores Públicos - LC nº. 660/2007. Registre V, para verdadeiras, e F, para falsas:
(__)Cargo público é o conjunto de atribuições, deveres e responsabilidades cometido ao servidor público, criado por lei, com denominação própria, número certo e vencimento pago pelos cofres públicos.
(__)Às pessoas com deficiência é assegurado o direito de se inscreverem em concurso público para provimento de cargo, cujas atribuições sejam compatíveis com as suas deficiências, para as quais serão reservadas até vinte por cento das vagas oferecidas por cargo no concurso, ou das que vierem a surgir no prazo de sua validade.
(__)O menor de 18 (dezoito) anos não poderá participar do certame, mesmo que implemente o requisito idade até a data de ingresso no cargo.
Após análise, assinale a alternativa que apresenta a sequência CORRETA dos itens, de cima para baixo:
Provas
Disciplina: Legislação Estadual e Distrital
Banca: FURB
Orgão: Pref. Blumenau-SC
Conforme a Estrutura Administrativa do Município - LC nº. 1.234/2019, compete ao Gabinete do Prefeito, estruturado na forma do Anexo II da Lei, sob a titularidade da Chefia de Gabinete:
Provas
Assim como "enxaimel", utilizado no texto, assinale a alternativa em que todos os vocábulos devem ser escritos com X:
Provas
Disciplina: Agronomia (Engenharia Agronômica)
Banca: FURB
Orgão: Pref. Blumenau-SC
Quando se escava o terreno natural, o solo que se encontrava num certo estado de compactação, proveniente do seu próprio processo de formação, experimenta uma expansão volumétrica que chega a ser considerável em certos casos. Os solos naturais apresentam expansões volumétricas diferentes, gerando diversos valores de fator de empolamento e porcentagem de empolamento. Solos argilosos apresentam:
Provas
Disciplina: Agronomia (Engenharia Agronômica)
Banca: FURB
Orgão: Pref. Blumenau-SC
Com relação ao cálculo com trilhas, rotas e waypoints utilizando o GPS TrackMaker, assinale a alternativa CORRETA:
Provas
Disciplina: Agronomia (Engenharia Agronômica)
Banca: FURB
Orgão: Pref. Blumenau-SC
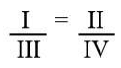
A medida de uma altitude na carta é desenvolvida através da medição direta dos espaçamentos entre duas curvas de nível, que será a observação da distância horizontal entre as duas curvas de nível, e onde através de uma regra de três, interpola-se linearmente os valores. Considerando as variáveis abaixo, assinale a alternativa CORRETA de como determinar altitudes por extrapolação e interpolação:
I-Comprimento entre as duas curvas de nível consideradas (unidades do mapa).
II-Comprimento da curva de cota mais baixa até o ponto a determinar (unidades do mapa).
III-Equidistância entre as curvas de nível (unidades do terreno).
IV-Altitude a determinar (unidades do terreno).
Marque a alternativa CORRETA:
Provas
Caderno Container