Foram encontradas 190 questões.
2517775
Ano: 2016
Disciplina: Inglês (Língua Inglesa)
Banca: FGR
Orgão: Pref. Conceição Mato Dentro-MG
Disciplina: Inglês (Língua Inglesa)
Banca: FGR
Orgão: Pref. Conceição Mato Dentro-MG
Provas:
The Joy of Reading Leaves Men on the Shelf.
When it comes to reading habits, women are chapters ahead of men, a survey reveals today. The study of what Britons read - and when - found that 35 per cent of men had not read a book for pleasure for five years or more, compared to only one in five women.
The Book Marketing Ltd survey also reveals that while 47 per cent of women claimed to have finished a book in the previous fortnight, only 30 per cent of men could say the same. Reading habits differ markedly with age, according to the survey, reported in the latest issue of Cultural Trends, from the Policy Studies Institute. While only 18 per cent of those aged 15 to 24 had read a book in the week before they were questioned, the figure for people aged between 25 and 34 was 21 per cent, and 41 per cent for those over 55.
Cookery books, with many titles linked to television series to the fore, are the most popular type of book bought, although romantic fiction and puzzle books have the biggest volume of sales.
For example, culinary titles were bought by 21 per cent of those who purchased a book compared to 18 per cent who bought a crime story or thriller, 12 per cent who bought a romantic novel and 7 per cent who bought a work of 20th-century fiction. A quick look around London book stores yesterday bore out some of the findings, with a range of cooking books, romantic works and thrillers among the most popular. Also selling well are "trophy" books such as Richard Dawkins' The Selfish Gene; titles which look good on the bookcase but which tend to be more purchased than read.
The finding that women are greater readers than men was supported by a quick survey of book buyers by The Independent. "I think it's because women are continually trying to change and improve themselves, and are more flexible and open to new experiences," Liz Kay, a curator at the Tate Gallery, said. Tamsin Summerson, 22, said she was aware of the difference among her friends. "If you ask a man what book they've just read they're likely to have forgotten or they will change the subject. With a woman you're more likely to get into a lengthy discussion about it."
But whichever sex you are, it is getting harder to be well-read. The number of books published has risen steadily in recent years, from just under 55,000 in 1987 to just over 95,000 today. Book prices have risen from an average of pounds 7.93 for a novel in 1991 compared with 8.99 today. Consumer spending on books has jumped, from pounds 755 million in 1985 to pounds 1,673 million.
Source: ( Independent: Marianne Macdonald and Michael Streeter , Wednesday 1 January 1997)
Mark the CORRECT alternative to complete the blanks below.
There three major team sports in Great Britain: football (also known as “soccer”), cricket, and rugby. Of these, football, or soccer, the most popular. During the football season, one of the most important things on television the football match shown on the B.B.C. on Saturday evenings around 10 o’clock. On Saturday afternoons, the big sports day in Britain, some football grounds crowds of more than 40,000.
Recently football getting less popular. The crowds not so big and some clubs always in financial troubles. It said that one reason for this is “violence on and off the field.”
Provas
Questão presente nas seguintes provas
O gráfico abaixo mostra as curvas dos padrões de crescimento de uma população de ratos, no decorrer do tempo.

Sabendo que os predadores naturais dos ratos são as cobras e os gaviões, julgue os itens abaixo como verdadeiros (V) ou falsos (F).
( ) O trecho representado pela letra f demonstra, ao longo do tempo, uma situação onde há ausência dos fatores de resistência ambiental, levando a uma explosão populacional.
( ) Pode-se dizer que o trechos d e e correspondem ao controle efetivo do equilíbrio populacional por meio da ação dos predadores.
( ) O trecho g mostra o decréscimo lento da população de ratos, causado pelo aumento da população de cobras e gaviões, fenômeno este que pode levar à extinção da população de ratos.
A sequência CORRETA é:
Provas
Questão presente nas seguintes provas
Estatuto da Criança e do Adolescente não é cumprido, avaliam especialistas
Em evento da série Diálogos Capitais, o defensor público Giancarlo Vay e o promotor Tiago de Toledo Rodrigues criticam a redução da maioridade penal
Alvo de críticas por parte dos setores que defendem a redução da maioridade penal, o Estatuto da Criança e do Adolescente (ECA) não foi mal elaborado, mas é executado de forma defeituosa. O diagnóstico é do defensor público Giancarlo Vay e do promotor Tiago de Toledo Rodrigues, promotor da Vara de Infância e Juventude. (...)
Para Tiago Rodrigues, o ECA é um projeto feito por pessoas de extrema competência, pesquisado por juristas do mundo inteiro, mas aplicado de maneira parcial e equivocada pelo poder público. “Como posso dizer que o projeto é ruim se ele não foi cumprido?", questionou o promotor. "Quem pode concluir pela falência de uma lei que não foi respeitada? Isso seria no mínimo um preconceito legislativo", disse.
Em fevereiro, Rodrigues assinou com outros colegas o texto "A falência da Fundação Casa", no qual fez inúmeras críticas à instituição responsável pelos menores infratores de São Paulo, onde há elevados índices de reincidência, superlotação de unidades, frequentes rebeliões, notícias regulares de torturas, e insalubridade das condições de moradia, entre outros problemas.
Vay também destacou a existência de uma série de violações dentro do processo de socialização do adolescente e lembrou que apenas este é responsabilizado. Com os governantes, que deveriam garantir condições para o desenvolvimento dos adolescentes, nada ocorre. “Infelizmente, [o sistema socioeducativo] serve para docilizar os corpos revoltados que não se adequam às normas sociais impostas", afirmou.
Para Vay, a Proposta de Emenda à Constituição que reduz a maioridade penal de 18 para 16 anos em casos de crimes hediondos e foi aprovada em primeiro turno pela Câmara "está sendo vendida como uma panaceia para todos os problemas”. Rodrigues lembrou que há um sentimento de insegurança na sociedade e Vay atribuiu parte desse fenômeno a determinados veículos de imprensa.
Segundo o defensor público, há uma “mídia marrom” que veicula cada dia mais reportagens sobre a violência, passando uma impressão de que a criminalidade é ainda maior.
Um argumento muito utilizado pelos setores favoráveis à redução da maioridade penal é de que um jovem de 16 anos possui plena responsabilidade e consciência ao pegar uma arma e praticar um crime. Segundo Tiago Rodrigues, esse questionamento é simplista e trata de forma equivocada sobre o conceito de imputabilidade penal.
“Imputabilidade penal é a capacidade de entender a si mesmo, o mundo que o cerca e ter maturidade para se comportar de acordo com esse entendimento, para refrear seus instintos", diz. "Reduzir a maioridade penal não pode ser admitido, porque entre os 16 e 18 anos não há suficiente maturidade para que o sujeito tenha uma responsabilização na condição de adulto", afirmou."E ele vai sofrer uma sanção, que pode ser, inclusive, de internação."
Vay destacou o fato de que não há relação alguma entre o conceito de imputabilidade penal e a questão da consciência anteriormente indagada. “A proposta da Câmara que propõe reduzir a imputabilidade para somente alguns crimes é meio que esquisita, porque você tem a consciência de compreender a licitude de alguns atos, mas não teria a consciência para compreender de outros atos", diz. "É exatamente por essa razão que eu friso que a questão da imputabilidade penal nada tem a ver com a questão da consciência.”
Disponível em: <http://www.cartacapital.com.br/dialogos-capitais/em-sao-paulo-carta-capital-debate-a-reducao-da-maioridade-penal-1006.html> Acesso em: 18/11/2015
Leia:
“(...) Rodrigues lembrou que há um sentimento de insegurança na sociedade (...)”
A oração destacada classifica-se como:
Provas
Questão presente nas seguintes provas
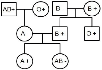
Um professor de Biologia pediu aos seus alunos que analisassem o heredograma abaixo e elaborassem 4 conclusões.

Após a análise do heredograma, um dos estudantes concluiu que
I. Se a segunda filha do casal formado pelos indivíduos 5 e 6 fosse Rh+, ela desenvolveria eritroblastose fetal.
II. O casal formado pelos indivíduos 5 e 6 não pode ter filhos do tipo sanguíneo O.
III. O indivíduo 1 é considerado um receptor universal.
IV. O indivíduo 9 pode doar sangue para o indivíduo 1, mas o indivíduo 1 não pode doar para o 9.
Estão CORRETAS somente as conclusões
Provas
Questão presente nas seguintes provas
A extração de bauxita (alumínio) representa 1,84% da extração mineral brasileira. Marque a alternativa que corresponde aos principais estados produtores deste mineral:
Provas
Questão presente nas seguintes provas
Para as séries finais do Ensino Fundamental, os Conteúdos Básicos Comuns (CBC) de Geografia propõem que o aluno possa identificar, analisar e avaliar o impacto das transformações culturais nas sociedades tradicionais, provocadas pela mudança nos hábitos de consumo. Para atender a esses objetivos de aprendizagem, marque a alternativa CORRETA em que seja explicitado o eixo temático que deverá ser trabalhado pelo Professor de Geografia:
Provas
Questão presente nas seguintes provas
Estatuto da Criança e do Adolescente não é cumprido, avaliam especialistas
Em evento da série Diálogos Capitais, o defensor público Giancarlo Vay e o promotor Tiago de Toledo Rodrigues criticam a redução da maioridade penal
Alvo de críticas por parte dos setores que defendem a redução da maioridade penal, o Estatuto da Criança e do Adolescente (ECA) não foi mal elaborado, mas é executado de forma defeituosa. O diagnóstico é do defensor público Giancarlo Vay e do promotor Tiago de Toledo Rodrigues, promotor da Vara de Infância e Juventude. (...)
Para Tiago Rodrigues, o ECA é um projeto feito por pessoas de extrema competência, pesquisado por juristas do mundo inteiro, mas aplicado de maneira parcial e equivocada pelo poder público. “Como posso dizer que o projeto é ruim se ele não foi cumprido?", questionou o promotor. "Quem pode concluir pela falência de uma lei que não foi respeitada? Isso seria no mínimo um preconceito legislativo", disse.
Em fevereiro, Rodrigues assinou com outros colegas o texto "A falência da Fundação Casa", no qual fez inúmeras críticas à instituição responsável pelos menores infratores de São Paulo, onde há elevados índices de reincidência, superlotação de unidades, frequentes rebeliões, notícias regulares de torturas, e insalubridade das condições de moradia, entre outros problemas.
Vay também destacou a existência de uma série de violações dentro do processo de socialização do adolescente e lembrou que apenas este é responsabilizado. Com os governantes, que deveriam garantir condições para o desenvolvimento dos adolescentes, nada ocorre. “Infelizmente, [o sistema socioeducativo] serve para docilizar os corpos revoltados que não se adequam às normas sociais impostas", afirmou.
Para Vay, a Proposta de Emenda à Constituição que reduz a maioridade penal de 18 para 16 anos em casos de crimes hediondos e foi aprovada em primeiro turno pela Câmara "está sendo vendida como uma panaceia para todos os problemas”. Rodrigues lembrou que há um sentimento de insegurança na sociedade e Vay atribuiu parte desse fenômeno a determinados veículos de imprensa.
Segundo o defensor público, há uma “mídia marrom” que veicula cada dia mais reportagens sobre a violência, passando uma impressão de que a criminalidade é ainda maior.
Um argumento muito utilizado pelos setores favoráveis à redução da maioridade penal é de que um jovem de 16 anos possui plena responsabilidade e consciência ao pegar uma arma e praticar um crime. Segundo Tiago Rodrigues, esse questionamento é simplista e trata de forma equivocada sobre o conceito de imputabilidade penal.
“Imputabilidade penal é a capacidade de entender a si mesmo, o mundo que o cerca e ter maturidade para se comportar de acordo com esse entendimento, para refrear seus instintos", diz. "Reduzir a maioridade penal não pode ser admitido, porque entre os 16 e 18 anos não há suficiente maturidade para que o sujeito tenha uma responsabilização na condição de adulto", afirmou."E ele vai sofrer uma sanção, que pode ser, inclusive, de internação."
Vay destacou o fato de que não há relação alguma entre o conceito de imputabilidade penal e a questão da consciência anteriormente indagada. “A proposta da Câmara que propõe reduzir a imputabilidade para somente alguns crimes é meio que esquisita, porque você tem a consciência de compreender a licitude de alguns atos, mas não teria a consciência para compreender de outros atos", diz. "É exatamente por essa razão que eu friso que a questão da imputabilidade penal nada tem a ver com a questão da consciência.”
Disponível em: <http://www.cartacapital.com.br/dialogos-capitais/em-sao-paulo-carta-capital-debate-a-reducao-da-maioridade-penal-1006.html> Acesso em: 18/11/2015
Leia:
“(...) o Estatuto da Criança e do Adolescente (ECA) não foi mal elaborado, mas é executado de forma defeituosa. (...)”
Sobre os vocábulos sublinhados pode-se afirmar que são:
Provas
Questão presente nas seguintes provas
2517026
Ano: 2016
Disciplina: Engenharia Civil
Banca: FGR
Orgão: Pref. Conceição Mato Dentro-MG
Disciplina: Engenharia Civil
Banca: FGR
Orgão: Pref. Conceição Mato Dentro-MG
Provas:
De acordo com a planta da instalação sanitária abaixo, calcule a área total de re-vestimento cerâmico a ser instalado nas paredes, sabendo que o pé-direito do ambiente é de 2,80 metros.

Obs. Cotas em centímetros.
Provas
Questão presente nas seguintes provas
2516704
Ano: 2016
Disciplina: Inglês (Língua Inglesa)
Banca: FGR
Orgão: Pref. Conceição Mato Dentro-MG
Disciplina: Inglês (Língua Inglesa)
Banca: FGR
Orgão: Pref. Conceição Mato Dentro-MG
Provas:
The Joy of Reading Leaves Men on the Shelf.
When it comes to reading habits, women are chapters ahead of men, a survey reveals today. The study of what Britons read - and when - found that 35 per cent of men had not read a book for pleasure for five years or more, compared to only one in five women.
The Book Marketing Ltd survey also reveals that while 47 per cent of women claimed to have finished a book in the previous fortnight, only 30 per cent of men could say the same. Reading habits differ markedly with age, according to the survey, reported in the latest issue of Cultural Trends, from the Policy Studies Institute. While only 18 per cent of those aged 15 to 24 had read a book in the week before they were questioned, the figure for people aged between 25 and 34 was 21 per cent, and 41 per cent for those over 55.
Cookery books, with many titles linked to television series to the fore, are the most popular type of book bought, although romantic fiction and puzzle books have the biggest volume of sales.
For example, culinary titles were bought by 21 per cent of those who purchased a book compared to 18 per cent who bought a crime story or thriller, 12 per cent who bought a romantic novel and 7 per cent who bought a work of 20th-century fiction. A quick look around London book stores yesterday bore out some of the findings, with a range of cooking books, romantic works and thrillers among the most popular. Also selling well are "trophy" books such as Richard Dawkins' The Selfish Gene; titles which look good on the bookcase but which tend to be more purchased than read.
The finding that women are greater readers than men was supported by a quick survey of book buyers by The Independent. "I think it's because women are continually trying to change and improve themselves, and are more flexible and open to new experiences," Liz Kay, a curator at the Tate Gallery, said. Tamsin Summerson, 22, said she was aware of the difference among her friends. "If you ask a man what book they've just read they're likely to have forgotten or they will change the subject. With a woman you're more likely to get into a lengthy discussion about it."
But whichever sex you are, it is getting harder to be well-read. The number of books published has risen steadily in recent years, from just under 55,000 in 1987 to just over 95,000 today. Book prices have risen from an average of pounds 7.93 for a novel in 1991 compared with 8.99 today. Consumer spending on books has jumped, from pounds 755 million in 1985 to pounds 1,673 million.
Source: ( Independent: Marianne Macdonald and Michael Streeter , Wednesday 1 January 1997)
According to the following sentences, “Understanding Text Production conditions Written in different genres. We can say that the skill that is connected to it is
Provas
Questão presente nas seguintes provas
2516620
Ano: 2016
Disciplina: Terapia Ocupacional
Banca: FGR
Orgão: Pref. Conceição Mato Dentro-MG
Disciplina: Terapia Ocupacional
Banca: FGR
Orgão: Pref. Conceição Mato Dentro-MG
Provas:
A síndrome do Ombro Doloroso no paciente hemiplégico, que sofreu AVC, gera interferências em seu processo de reabilitação motora, dificultando a recuperação funcional do indivíduo acometido, principalmente na fase aguda. O terapeuta Ocupacional precisa estar atento a todas as causas da instalação do ombro doloroso para tratar o paciente. De acordo com o assunto acima, numere a 2ª coluna de acordo com a 1ª coluna.
| I. Síndrome complexa de dor regional. | ( ) Ocorre na fase flácida com dor devido ao posicionamento adequado e prolongado ou alongamento brusco do ombro durante a movimentação ou mudanças de decúbito. |
| II. Capsulite adesiva do ombro. | ( ) Fibrose e déficit da elasticidade tecidual causada por diminuição no líquido sinovial. |
| III. Subluxação escápulo umeral. | ( ) Edema, hipersensibilidade, dor no ombro aumentada com a movimentação, fenômenos distróficos na extremidade do membro superior. |
| IV. Tração do plexo braquial. | ( ) Alongamento anormal dos tecidos periarticulares causado por hipotonia muscular. |
| V. Síndrome do impacto. | ( ) Posição de rotação interna frequentemente adquirida na hemiplegia. |
Marque a alternativa que apresenta a sequência CORRETA:
Provas
Questão presente nas seguintes provas
Cadernos
Caderno Container