Foram encontradas 40 questões.
Baseando-se no Regime Jurídico de Harmonia, analise as assertivas abaixo:
I. O deslocamento do servidor de uma repartição para outra é chamado de remoção. II. A remoção de ofício ocorre por interesse da administração. III. O servidor poderá ser removido a pedido, quando atendida a conveniência do serviço.
Quais estão corretas?
I. O deslocamento do servidor de uma repartição para outra é chamado de remoção. II. A remoção de ofício ocorre por interesse da administração. III. O servidor poderá ser removido a pedido, quando atendida a conveniência do serviço.
Quais estão corretas?
Provas
Questão presente nas seguintes provas
De acordo com o Regime Jurídico de Harmonia, enquanto não adquirir a estabilidade,
o servidor poderá ser exonerado no interesse do serviço público em caso de:
I. Má conduta. II. Falta de dedicação ao serviço. III. Assiduidade.
Quais estão corretas?
I. Má conduta. II. Falta de dedicação ao serviço. III. Assiduidade.
Quais estão corretas?
Provas
Questão presente nas seguintes provas
Segundo o texto da Lei Orgânica de Harmonia, vagando os cargos de Prefeito e
Vice-Prefeito, será feita eleição em dias depois de aberta a última vaga.
Assinale a alternativa que preenche corretamente a lacuna do trecho acima.
Assinale a alternativa que preenche corretamente a lacuna do trecho acima.
Provas
Questão presente nas seguintes provas
De acordo com a Lei Orgânica de Harmonia, em caso de impedimento do Prefeito e
do Vice-Prefeito, quem será chamado ao exercício da Prefeitura?
Provas
Questão presente nas seguintes provas
2911750
Ano: 2023
Disciplina: Legislação Estadual e Distrital
Banca: FUNDATEC
Orgão: Pref. Harmonia-RS
Disciplina: Legislação Estadual e Distrital
Banca: FUNDATEC
Orgão: Pref. Harmonia-RS
Provas:
Segundo o texto do Estatuto da Igualdade Racial do Rio Grande do Sul, o Estado
visará medidas para os negros pelas sequelas e consequências advindas das
práticas institucionais e sociais que contribuíram para aprofundar as desigualdades raciais presentes
na sociedade.
Assinale a alternativa que preenche corretamente lacuna do trecho acima.
Assinale a alternativa que preenche corretamente lacuna do trecho acima.
Provas
Questão presente nas seguintes provas
A Secretaria de Educação do estado do Rio Grande do Sul está fazendo uma
capacitação com os professores da rede de ensino, os quais serão multiplicadores do saber em suas
cidades de origem. Pedro e Mariana estão fazendo o curso em conjunto com mais seis colegas oriundos
do mesmo município. A secretaria de educação do seu município convidará um grupo de quatro desses
professores para uma palestra de formação pedagógica e disseminação do conhecimento adquirido.
Qual a probabilidade de que Pedro e Mariana façam parte desse grupo convidado?
Provas
Questão presente nas seguintes provas
A equação da reta s que passa pelo centro da circunferência
x2 + y2 – 6x + 6y – 7 = 0 e é perpendicular à reta r que possui equação geral –3x + 4y + 21 = 0
é dada por:
Provas
Questão presente nas seguintes provas
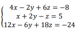
A respeito da solução do sistema linear a seguir
pode-se dizer
que:
pode-se dizer
que:Provas
Questão presente nas seguintes provas
A solução S que satisfaz a equação logarítmica log(x−3)(2x
2 − 14x + 24) = 2 é dada
pelo conjunto:
Provas
Questão presente nas seguintes provas
Ao ensinar os sólidos geométricos para seus alunos, a professora Rosane decidiu
construir as figuras planificadas. Para construir um prisma pentagonal com 20 cm de lado da base e
10 cm de altura, ela precisou de, no mínimo, aproximadamente cm2 de papel.
Assinale a alternativa que preenche corretamente a lacuna do trecho acima.
Considere tg36° = 0,726 e tg54° = 1,37
Assinale a alternativa que preenche corretamente a lacuna do trecho acima.
Considere tg36° = 0,726 e tg54° = 1,37
Provas
Questão presente nas seguintes provas
Cadernos
Caderno Container