Magna Concursos

Foram encontradas 92 questões.

1006751 Ano: 2016
Disciplina: Direito Administrativo
Banca: IDIB
Orgão: Pref. Novo Gama-GO
Provas:

O poder de polícia corresponde à “atividade estatal de condicionar a liberdade e a propriedade, ajustando-se aos interesses coletivos”; e em sentido estrito (atos do executivo), abrange as intervenções do Poder Executivo, destinadas a alcançar fim de prevenir e obstar ao desenvolvimento de atividades particulares contrastantes com os interesses sociais. Sendo que o sentido estrito é responsável pelo poder de polícia administrativo. Desta forma, o poder de polícia administrativo tem intervenções genéricas ou especificas do Poder Executivo, destinadas a alcançar o mesmo fim de interferir nas atividades de particulares tendo em vista os interesses sociais. Em relação ao tema, utilize nos itens abaixo, V para Verdadeiro e F para Falso:

( ) A sua finalidade é a proteção ao interesse público no seu sentido mais amplo. Nesse interesse superior da comunidade entram não só os valores materiais, como também o patrimônio moral e espiritual do povo, expresso do poder de polícia da Administração para a contenção de atividades particulares anti-sociais ou prejudiciais à segurança nacional.

( ) Temos a atuação da polícia administrativa municipal nas seguintes áreas: construções, sanitária, logradouros públicos, pesos e medidas, meio ambiente, atividades urbanas, costumes, mortuária, entre outras.

( ) Como exemplo mais presente do exercício do poder de polícia no município, hoje, temos o chamado “Código de Posturas” que é uma lei que regula inúmeros aspectos da vida nas cidades.

( ) Das garantias individuais, referidas na Constituição Federal de 1988, citamos o direito à propriedade como um dos que não sofrem nenhuma restrição diante do poder de polícia municipal.

A sequência correta é:
 

Provas

Questão presente nas seguintes provas
1006750 Ano: 2016
Disciplina: Direito Administrativo
Banca: IDIB
Orgão: Pref. Novo Gama-GO
Provas:
Basicamente, quando falamos em polícia administrativa, estamos abordando a questão da fiscalização desempenhada pela Administração Pública. Acima, vimos que no âmbito municipal, em regra, a polícia administrativa é desempenhada voltada a algumas áreas de atuação que, resumidamente, estará prevista em algumas leis como, exceto:
 

Provas

Questão presente nas seguintes provas
1006749 Ano: 2016
Disciplina: Direito Administrativo
Banca: IDIB
Orgão: Pref. Novo Gama-GO
Provas:
Segundo o que é usualmente definido nas legislações municipais acerca do poder de polícia municipal que atua na área da polícia de costumes, da segurança e da ordem pública, é expressamente proibido perturbar o sossego público com ruídos ou sons excessivos evitáveis, tais como, exceto:
 

Provas

Questão presente nas seguintes provas
1006747 Ano: 2016
Disciplina: Raciocínio Lógico
Banca: IDIB
Orgão: Pref. Novo Gama-GO
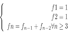
Considerando a sequência
enunciado 1006747-1 Calcule a soma do quinto termo com o sétimo termo.
 

Provas

Questão presente nas seguintes provas
1006746 Ano: 2016
Disciplina: Raciocínio Lógico
Banca: IDIB
Orgão: Pref. Novo Gama-GO
Provas:

Considerando os conjuntos

A = {3,7,11}

B = {3,9,13}

C = {3,11,12}

Calcule (A∩B) U C.

 

Provas

Questão presente nas seguintes provas
1006745 Ano: 2016
Disciplina: Raciocínio Lógico
Banca: IDIB
Orgão: Pref. Novo Gama-GO
Em uma sala de 50 estudantes musicais, 18 cantam, 26 tocam instrumentos e 2, tanto cantam como tocam instrumento. De acordo com essas informações, determine quantos, desses estudantes, nem cantam e nem tocam instrumento.
 

Provas

Questão presente nas seguintes provas
1006744 Ano: 2016
Disciplina: Raciocínio Lógico
Banca: IDIB
Orgão: Pref. Novo Gama-GO
Provas:
Calcule a soma dos números pares existentes no conjunto abaixo. A = {x ∈Z | 1≤x<10}
 

Provas

Questão presente nas seguintes provas
1006743 Ano: 2016
Disciplina: Raciocínio Lógico
Banca: IDIB
Orgão: Pref. Novo Gama-GO
Considerando os conjuntos
A = {3, 7, 11} B = {3, 9, 13} C = {3, 11, 12}
Calcule (A B) C.
 

Provas

Questão presente nas seguintes provas
1006742 Ano: 2016
Disciplina: Raciocínio Lógico
Banca: IDIB
Orgão: Pref. Novo Gama-GO
Calcule a soma dos números pares existentes no conjunto abaixo.
A = {x ∈ Z | 1 x < 10}
 

Provas

Questão presente nas seguintes provas
1006741 Ano: 2016
Disciplina: Veterinária
Banca: IDIB
Orgão: Pref. Novo Gama-GO
São sintomas da raiva no cão, exceto por:
 

Provas

Questão presente nas seguintes provas