Magna Concursos

Foram encontradas 210 questões.

3455416 Ano: 2024
Disciplina: Matemática
Banca: Avança SP
Orgão: Pref. Rio Claro-SP

Os sistemas lineares podem ser representados por uma equação matricial. Por exemplo, observe a equação

\( \begin{bmatrix} a&2&3\\-1&6&-1\\3&2&1 \end{bmatrix}\cdot \begin{bmatrix} x\\y\\z\end{bmatrix}=\begin{bmatrix} 3\\2\\1\end{bmatrix} \)

onde \( x \),\( y \) e \( z \) são as variáveis e \( a \) é um número real. Indique o valor que \( a \) não pode assumir, para que o sistema acima seja possível e determinado:

 

Provas

Questão presente nas seguintes provas
3455415 Ano: 2024
Disciplina: Matemática
Banca: Avança SP
Orgão: Pref. Rio Claro-SP

Se um determinado produto que custa R$ 100,00 sofre dois aumentos sucessivos de preços de 10%, e depois uma diminuição de preço de 20%, onde cada alteração de preço é sempre feita com base no preço imediatamente anterior, qual vai ser o valor final do produto?

 

Provas

Questão presente nas seguintes provas
3455414 Ano: 2024
Disciplina: Matemática
Banca: Avança SP
Orgão: Pref. Rio Claro-SP

A unidade de medida de pressão, pascal (Pa), é frequentemente utilizada em projetos de construção civil. Sabe-se que 1 Pa é igual a 1 Newton por metro quadrado (N/m2). Outra unidade de medida derivada é o N/mm2. A quantos Pa equivale 1 N/mm2?

 

Provas

Questão presente nas seguintes provas
3455413 Ano: 2024
Disciplina: Matemática
Banca: Avança SP
Orgão: Pref. Rio Claro-SP

Sobre a medida dos ângulos internos de um polígono, observe as afirmativas:

I – A soma dos ângulos internos de um hexágono é 720° somente se ele for regular;

II – A soma dos ângulos internos de qualquer pentágono é 540°;

III – Num trapézio, todos os ângulos internos são agudos;

Estão corretas:

 

Provas

Questão presente nas seguintes provas
3455412 Ano: 2024
Disciplina: Estatística
Banca: Avança SP
Orgão: Pref. Rio Claro-SP

A respeito de uma determinada medida de tendência central, observe:

“Valor que separa a metade maior e a metade menor de uma amostra, uma população ou uma distribuição de probabilidade.”

O texto refere-se a:

 

Provas

Questão presente nas seguintes provas
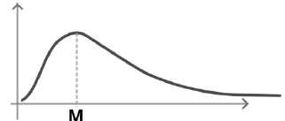
3455411 Ano: 2024
Disciplina: Estatística
Banca: Avança SP
Orgão: Pref. Rio Claro-SP

A figura abaixo mostra um histograma com assimetria positiva:

Enunciado 3455411-1

A medida de tendência central mostrada na figura marca um ponto de máximo no gráfico. Trata-se:

 

Provas

Questão presente nas seguintes provas
3455410 Ano: 2024
Disciplina: Matemática Financeira
Banca: Avança SP
Orgão: Pref. Rio Claro-SP

Suponha que uma quantia de R$ 1000,00 é aplicada num investimento a juros simples com uma taxa de 12% ao ano durante 6 meses. Logo depois, o montante deste primeiro investimento foi aplicado numa nova aplicação a juros compostos com taxa de juros de 2% ao mês durante 1 ano. O valor do juro total, desde o primeiro investimento, é igual a:

 

Provas

Questão presente nas seguintes provas
3455409 Ano: 2024
Disciplina: Matemática
Banca: Avança SP
Orgão: Pref. Rio Claro-SP

A figura abaixo representa o gráfico de um polinômio:

Enunciado 3455409-1

Indique a ordem desse polinômio:

 

Provas

Questão presente nas seguintes provas
3455408 Ano: 2024
Disciplina: Matemática
Banca: Avança SP
Orgão: Pref. Rio Claro-SP

Indique o resultado da soma infinita:

\( \dfrac{1}{16}+\dfrac{2}{10}+\dfrac{2}{100}+\dfrac{2}{1000}+... \)

 

Provas

Questão presente nas seguintes provas
3455407 Ano: 2024
Disciplina: Matemática
Banca: Avança SP
Orgão: Pref. Rio Claro-SP

O gráfico abaixo mostra a trajetória feita pelo centro de massa de uma atleta na modalidade salto com vara:

Enunciado 3455407-1

Sabendo que entre as distâncias \( x=1 \) e \( \color{red}{x=5} \), a posição do centro de massa é descrita por uma parábola, indique a equação correspondente entre esses pontos com base nas medidas presentes no gráfico:

 

Provas

Questão presente nas seguintes provas