Magna Concursos

Foram encontradas 588 questões.

3792603 Ano: 2024
Disciplina: Biologia
Banca: Funatec
Orgão: Pref. Santo Amaro Maranhão-MA
Provas:
Quando o resultado da associação entre as espécies é positiva, podendo somente uma ou as duas espécies serem beneficiadas sem o prejuízo de nenhuma delas, esse benefício é denominado de:
 

Provas

Questão presente nas seguintes provas
3792602 Ano: 2024
Disciplina: Biologia
Banca: Funatec
Orgão: Pref. Santo Amaro Maranhão-MA
Provas:
As relações ecológicas são as interações que ocorrem entre os seres vivos, no âmbito do nível de interdependência. A relação entre seres da mesma espécie, é denominado de:
 

Provas

Questão presente nas seguintes provas
3792601 Ano: 2024
Disciplina: Geografia
Banca: Funatec
Orgão: Pref. Santo Amaro Maranhão-MA

No ciclo da água, quando ela alcança uma determinada altitude, passa do estado de vapor para o líquido, essa mudança no estado físico da água é denominada de:

 

Provas

Questão presente nas seguintes provas
3792600 Ano: 2024
Disciplina: Astronomia
Banca: Funatec
Orgão: Pref. Santo Amaro Maranhão-MA

Assinale a assertiva que apresenta de forma correta o maior planeta do sistema solar.

 

Provas

Questão presente nas seguintes provas
3792599 Ano: 2024
Disciplina: Economia
Banca: Funatec
Orgão: Pref. Santo Amaro Maranhão-MA

Na história econômica do Brasil, houve períodos de prosperidade e dificuldades. Após enfrentar uma longa crise financeira, o país implementou o Plano Real, que continua em vigor e exerce influência na economia nacional até os dias atuais. Nesse contexto, assinale a assertiva que apresenta corretamente o ano em que o plano real entrou em vigor.

 

Provas

Questão presente nas seguintes provas
3792595 Ano: 2024
Disciplina: Geografia
Banca: Funatec
Orgão: Pref. Santo Amaro Maranhão-MA

Assinale a assertiva que apresenta umas das utilidades da cartografia.

 

Provas

Questão presente nas seguintes provas
3792589 Ano: 2024
Disciplina: História
Banca: Funatec
Orgão: Pref. Santo Amaro Maranhão-MA

No século XVII, os ingleses optaram por estender sua presença na América do Norte após a partida dos espanhóis, que reivindicavam a terra de acordo com o Tratado de Tordesilhas. Para estabelecer suas colônias na América, a Inglaterra concebeu:

 

Provas

Questão presente nas seguintes provas
3792586 Ano: 2024
Disciplina: História
Banca: Funatec
Orgão: Pref. Santo Amaro Maranhão-MA

Levando em consideração a expansão marítima e colonização da América, sabe-se que a conquista de Ceuta (Marrocos) marcou o início da expansão portuguesa, em:

 

Provas

Questão presente nas seguintes provas
3792582 Ano: 2024
Disciplina: Matemática
Banca: Funatec
Orgão: Pref. Santo Amaro Maranhão-MA

Sabe-se que o número n2 possui como resultado 2025. Sendo assim, assinale a assertiva que apresenta corretamente a raiz quadrada do quíntuplo de n.

 

Provas

Questão presente nas seguintes provas
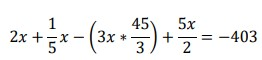
3792581 Ano: 2024
Disciplina: Matemática
Banca: Funatec
Orgão: Pref. Santo Amaro Maranhão-MA

Observe a seguinte expressão matemática e assinale a assertiva que apresenta corretamente o valor de X.

Enunciado 4652929-1

 

Provas

Questão presente nas seguintes provas