Magna Concursos

Foram encontradas 680 questões.

286799 Ano: 2019
Disciplina: Matemática
Banca: CESPE / CEBRASPE
Orgão: Pref. São Cristóvão-SE

Com relação a sistemas lineares e análise combinatória, julgue os próximos itens.

Para todo sistema linear da forma AX = B, em que A é uma matriz quadrada m × m, X e B são matrizes colunas m × 1, e det(A) = 0, o sistema não tem solução.

 

Provas

Questão presente nas seguintes provas
286798 Ano: 2019
Disciplina: Matemática
Banca: CESPE / CEBRASPE
Orgão: Pref. São Cristóvão-SE

Com relação a sistemas lineares e análise combinatória, julgue os próximos itens.

Situação hipotética: As 5 lâmpadas tubulares de uma sala de aula foram instaladas formando uma única fileira. Por motivo de economia, 2 lâmpadas adjacentes nunca poderão ficar acesas ao mesmo tempo. Assertiva: Nessa situação, há exatamente 13 configurações distintas, incluindo todas as lâmpadas desligadas, que atendem à exigência de economia.

 

Provas

Questão presente nas seguintes provas
286797 Ano: 2019
Disciplina: Matemática
Banca: CESPE / CEBRASPE
Orgão: Pref. São Cristóvão-SE

Julgue os itens a seguir, relativos a sequências numéricas.

Situação hipotética: As margens de uma folha de papel retangular medem 21 cm × 29 cm. Cortando essa folha ao meio, pelo ponto médio da margem maior, obtêm-se duas folhas em que as margens medem 21 cm × 29/2 cm. Desprezando uma delas, a outra é denominada folha F1. Cortando F1 ao meio, pelo ponto médio da margem maior, obtêm-se duas folhas em que as margens medem 21/2 cm × 29/2 cm. Desprezando uma delas, a outra é denominada folha F2. Esse processo de divisão pode ser continuado sucessivamente. Assertiva: Nessa situação, a área da folha F6 será inferior a 9 cm2.

 

Provas

Questão presente nas seguintes provas
286796 Ano: 2019
Disciplina: Matemática
Banca: CESPE / CEBRASPE
Orgão: Pref. São Cristóvão-SE

Julgue os itens a seguir, relativos a sequências numéricas.

A quantidade de números inteiros múltiplos de 19 que estão entre 1.234 e 4.321 é inferior a 160.

 

Provas

Questão presente nas seguintes provas
286795 Ano: 2019
Disciplina: Matemática
Banca: CESPE / CEBRASPE
Orgão: Pref. São Cristóvão-SE

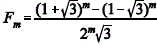
Julgue os itens a seguir, relativos a sequências numéricas.

Na sequência de Fibonacci — (Fm), em que F1 = 1, F2 = 1, F3 = 2, F4 = 3, F5 = 5, ... —, os elementos podem ser obtidos a partir da fórmula Enunciado 286795-1 para todo m ≥ 1.

 

Provas

Questão presente nas seguintes provas
286793 Ano: 2019
Disciplina: Matemática
Banca: CESPE / CEBRASPE
Orgão: Pref. São Cristóvão-SE

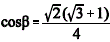
A respeito da trigonometria do triângulo retângulo e das funções trigonométricas, julgue os itens que se seguem.

Se α e β forem os ângulos agudos de um triângulo retângulo e se Enunciado 286793-1 então Enunciado 286793-2.

 

Provas

Questão presente nas seguintes provas
286623 Ano: 2019
Disciplina: Matemática
Banca: CESPE / CEBRASPE
Orgão: Pref. São Cristóvão-SE

A respeito da trigonometria do triângulo retângulo e das funções trigonométricas, julgue os itens que se seguem.

Se em um triângulo qualquer os comprimentos de todos os lados forem números racionais, então os cossenos de todos os ângulos internos desse triângulo serão também números racionais.

 

Provas

Questão presente nas seguintes provas
286622 Ano: 2019
Disciplina: Matemática
Banca: CESPE / CEBRASPE
Orgão: Pref. São Cristóvão-SE

A respeito da trigonometria do triângulo retângulo e das funções trigonométricas, julgue os itens que se seguem.

Situação hipotética: Um poste vertical mede h m de altura. A extremidade superior do poste, ponto C, é atingida por um laser localizado em um ponto A, a 2,4 m do poste e a 1,6 m do solo. Considerando o ponto B sobre o poste de forma que o triângulo ABC seja retângulo em B, o ângulo α = CAB é tal que tgα = 17/12. A figura a seguir ilustra a situação apresentada.

Assertiva: Nesse caso, o poste mede mais de 6 m de altura.

Enunciado 286622-1

 

Provas

Questão presente nas seguintes provas
286621 Ano: 2019
Disciplina: Matemática
Banca: CESPE / CEBRASPE
Orgão: Pref. São Cristóvão-SE

A respeito da trigonometria do triângulo retângulo e das funções trigonométricas, julgue os itens que se seguem.

Entre todos os triângulos retângulos, para apenas um deles, um de seus ângulos internos, θ, será tal que tgθ = 3.

 

Provas

Questão presente nas seguintes provas
286620 Ano: 2019
Disciplina: Matemática
Banca: CESPE / CEBRASPE
Orgão: Pref. São Cristóvão-SE

Em relação às competências e habilidades propostas na BNCC do ensino fundamental para a disciplina de matemática, julgue o item a seguir.

As habilidades propostas para o 6.º ano incluem a de resolver problemas que envolvam porcentagens com o emprego da regra de três como estratégia principal.

 

Provas

Questão presente nas seguintes provas