Magna Concursos

Foram encontradas 680 questões.

287623 Ano: 2019
Disciplina: Estatística
Banca: CESPE / CEBRASPE
Orgão: Pref. São Cristóvão-SE

A tabela seguinte mostra a distribuição das idades dos 30 alunos da turma A do quinto ano de uma escola de ensino fundamental.

idade (em anos)

9

10

11

12

13

14

quantidade de estudantes

6

22

0

1

0

1



A partir dessa tabela, julgue os próximos itens.

A moda dessa distribuição é igual a 11 anos.

 

Provas

Questão presente nas seguintes provas
287622 Ano: 2019
Disciplina: Matemática
Banca: CESPE / CEBRASPE
Orgão: Pref. São Cristóvão-SE

Julgue os itens seguintes, referentes a geometria analítica, geometria plana e geometria espacial.

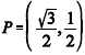
Em um sistema de coordenadas cartesianas ortogonais xOy, o ponto da circunferência x2 + y2 = 1 que está mais próximo da reta y + 2x = 4 é o ponto Enunciado 287622-1.

 

Provas

Questão presente nas seguintes provas
287621 Ano: 2019
Disciplina: Matemática
Banca: CESPE / CEBRASPE
Orgão: Pref. São Cristóvão-SE

Julgue os itens seguintes, referentes a geometria analítica, geometria plana e geometria espacial.

Em um sistema de coordenadas cartesianas ortogonais, o triângulo de vértices nos pontos de coordenadas A = (1, 0), B = (2, 3) e C = (-1, 1) é um triângulo retângulo.

 

Provas

Questão presente nas seguintes provas
287620 Ano: 2019
Disciplina: Matemática
Banca: CESPE / CEBRASPE
Orgão: Pref. São Cristóvão-SE

Julgue os itens seguintes, referentes a geometria analítica, geometria plana e geometria espacial.

Se a área total de um cilindro circular reto de 3 cm de altura for igual ao triplo de sua área lateral, então o volume desse cilindro será inferior a 400 cm3.

 

Provas

Questão presente nas seguintes provas
287619 Ano: 2019
Disciplina: Matemática
Banca: CESPE / CEBRASPE
Orgão: Pref. São Cristóvão-SE

Julgue os itens seguintes, referentes a geometria analítica, geometria plana e geometria espacial.

Situação hipotética: As faces laterais de uma pirâmide regular quadrangular são triângulos equiláteros, e todas as arestas da pirâmide medem L cm. Assertiva: Nessa situação, a altura da pirâmide é igual a Enunciado 287619-1.

 

Provas

Questão presente nas seguintes provas
287618 Ano: 2019
Disciplina: Matemática
Banca: CESPE / CEBRASPE
Orgão: Pref. São Cristóvão-SE

Julgue os itens seguintes, referentes a geometria analítica, geometria plana e geometria espacial.

Se o diâmetro da circunferência circunscrita a um triângulo ABC for igual a 4√2cm e se o ângulo CAB desse triângulo for igual a 45°, então o comprimento do lado BC, oposto ao ângulo CAB, será igual a 4 cm.

 

Provas

Questão presente nas seguintes provas
287189 Ano: 2019
Disciplina: Matemática
Banca: CESPE / CEBRASPE
Orgão: Pref. São Cristóvão-SE

Com relação a sistemas lineares e análise combinatória, julgue os próximos itens.

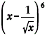
Ao se expandir a expressão Enunciado 287189-1, o termo independente de x será positivo e superior a 10.

 

Provas

Questão presente nas seguintes provas
287188 Ano: 2019
Disciplina: Matemática
Banca: CESPE / CEBRASPE
Orgão: Pref. São Cristóvão-SE

Com relação a sistemas lineares e análise combinatória, julgue os próximos itens.

Se um professor desejar formar 3 grupos com seus 16 alunos, de modo que dois grupos tenham 5 alunos e o terceiro grupo tenha 6 alunos, então haverá \(\binom{16}{5} + \binom{11}{5} + \binom{6}{6}\) formas distintas de se formarem esses grupos.

 

Provas

Questão presente nas seguintes provas
286801 Ano: 2019
Disciplina: Matemática
Banca: CESPE / CEBRASPE
Orgão: Pref. São Cristóvão-SE

Com relação a sistemas lineares e análise combinatória, julgue os próximos itens.

Situação hipotética: No jogo de basquete, cada um dos cinco jogadores de um time pode ocupar as seguintes posições: armador, ala armador, ala, líbero e pivô. O elenco do time Alfa é formado por 2 armadores, 2 alas armadores, 3 alas, 2 líberos e 3 pivôs. Assertiva: Nessa situação, sabendo-se que em quadra jogam apenas 5 jogadores por time e que os demais ficam no banco, é correto afirmar que existem 216 formas distintas de montar o time Alfa para iniciar a partida com exatamente um pivô, um armador e um ala.

 

Provas

Questão presente nas seguintes provas
286800 Ano: 2019
Disciplina: Matemática
Banca: CESPE / CEBRASPE
Orgão: Pref. São Cristóvão-SE

Com relação a sistemas lineares e análise combinatória, julgue os próximos itens.

Para a matriz Enunciado 286800-1 tem-se que det(A) = −1 e, consequentemente, A é uma matriz inversível.

 

Provas

Questão presente nas seguintes provas