Magna Concursos

Foram encontradas 160 questões.

Determinada atividade, quando caracterizada como serviço público,
 

Provas

Questão presente nas seguintes provas
A respeito do regime jurídico aplicável às entidades integrantes da Administração indireta, é correto afirmar que as
 

Provas

Questão presente nas seguintes provas
400479 Ano: 2010
Disciplina: Estatística
Banca: FCC
Orgão: SEFAZ-SP
Com base em um estudo de correlação e regressão, obteve-se o gráfico abaixo correspondente à equação da reta deduzida pelo método dos mínimos quadrados (Y = aX + b), utilizando 10 pares de observações (enunciado 400479-1), i = 1, 2, 3, ..., 10. A média aritmética das observações de Y apresentou o valor de 6,5.

enunciado 400479-2

A média aritmética das observações de X é
 

Provas

Questão presente nas seguintes provas
400478 Ano: 2010
Disciplina: Estatística
Banca: FCC
Orgão: SEFAZ-SP
Para resolver às questões de números 47 e 48 utilize as informações abaixo referentes à distribuição normal padrão Z:

enunciado 400478-1
A distribuição das medidas dos cabos fabricados por uma indústria é considerada normal. Sabe-se que 7% dos cabos medem no máximo 2,4 metros e apenas 2% medem no mínimo 16,4 metros. A média das medidas destes cabos é igual a
 

Provas

Questão presente nas seguintes provas
400477 Ano: 2010
Disciplina: Estatística
Banca: FCC
Orgão: SEFAZ-SP
Para resolver às questões de números 47 e 48 utilize as informações abaixo referentes à distribuição normal padrão Z:

enunciado 400477-1
Os salários dos empregados de uma determinada categoria profissional apresentam uma distribuição normal com média igual a R$ 1.200,00 e desvio padrão igual a R$ 160,00. A proporção dos empregados com salários superiores a R$ 1.000,00 e inferiores a R$ 1.520,00 é
 

Provas

Questão presente nas seguintes provas
400476 Ano: 2010
Disciplina: Matemática
Banca: FCC
Orgão: SEFAZ-SP
O total de funcionários em uma repartição pública é igual a 6. João e sua esposa trabalham nesta repartição em que será formada uma comissão de 3 funcionários escolhidos aleatoriamente. A probabilidade de que no máximo um deles, João ou sua esposa, faça parte da comissão é
 

Provas

Questão presente nas seguintes provas
400475 Ano: 2010
Disciplina: Estatística
Banca: FCC
Orgão: SEFAZ-SP
Em dezembro de 2009, o salário médio dos 100 trabalhadores da empresa Alpha é igual ao salário médio dos 400 trabalhadores da empresa Beta, ou seja, igual a R$ 2.000,00. Porém, os coeficientes de variação apresentados para os trabalhadores de Alpha e Beta são iguais a 20% e 15%, respectivamente. Considerando as duas empresas reunidas, obtém-se que a correspondente variância é, em (R$)2, igual a
 

Provas

Questão presente nas seguintes provas
400474 Ano: 2010
Disciplina: Estatística
Banca: FCC
Orgão: SEFAZ-SP
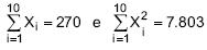
Seja uma amostra aleatória simples extraída de uma população, com tamanho 10 e representada por enunciado 400474-1; i = 1, 2, ... , 10. Sabe-se que

enunciado 400474-2

A variância desta amostra apresenta o valor de
 

Provas

Questão presente nas seguintes provas
400473 Ano: 2010
Disciplina: Estatística
Banca: FCC
Orgão: SEFAZ-SP
Em um setor de um órgão público é realizado um levantamento com relação aos salários de seus funcionários administrativos. O resultado pode ser visualizado na tabela abaixo.

enunciado 400473-1

Com relação a este levantamento e às medidas de posição, tem-se que
 

Provas

Questão presente nas seguintes provas
As questões de números 58 a 65 estão alicerçadas
na Constituição do Estado de São Paulo.
Dentre as competências tributárias do Estado de São Paulo estão as de instituir e cobrar
 

Provas

Questão presente nas seguintes provas