Foram encontradas 223 questões.
Na inspeção de componentes seriados, visando à detecção de descontinuidades subsuperficiais de até 10 mm de profundidade, utilizando-se a técnica de partículas magnéticas, recomenda-se
Provas
Questão presente nas seguintes provas
Na Legislação ambiental, o que se entende por: cuidar do equilíbrio das relações entre a comunidade biótica e o seu habitat, é
Provas
Questão presente nas seguintes provas
Num redutor composto por uma coroa e um sem-fim as rotações de entrada e de saída são, respectivamente, 870 e 30 rpm. Como o sem-fim tem 3 entradas, a coroa deve ter
Provas
Questão presente nas seguintes provas
Ensaios de tração serão realizados em corpos de prova de dois materiais: aço mola de alto carbono e aço carbono de médio carbono. A expectativa é que o aço mola em relação ao aço carbono apresente
Provas
Questão presente nas seguintes provas
Em uma junta soldada pelo processo MIG/MAG, foi constatada uma fusão não homogênea, onde poderão ocorrer pontos de início de trincas, quando colocada em serviço. Tal ocorrência deve-se à
Provas
Questão presente nas seguintes provas
Nos microcontroladores da família 8051, o desvio imediato do processamento para um endereço específico da memória de programa, onde se encontra uma determinada sub-rotina, pode ser obtido via hardware por meio
Provas
Questão presente nas seguintes provas
Tem-se uma fonte de alimentação linear composta por um transformador abaixador de tensão, uma ponte retificadora e um capacitor de filtro C. Ao ligar uma carga resistiva R na saída, obtém-se uma corrente média I e uma tensão média V com um ripple de frequência f e cujo valor pico a pico é no máximo 10% da tensão média na carga. A expressão que corresponde a um valor aproximado do valor pico a pico do ripple é
Provas
Questão presente nas seguintes provas
O esquema abaixo representa um circuito digital de controle, família TTL, que deve acionar uma carga CA por meio de uma interface de potência.
O resistor RB mais adequado para a operação da interface de potência é
O resistor RB mais adequado para a operação da interface de potência é
Provas
Questão presente nas seguintes provas
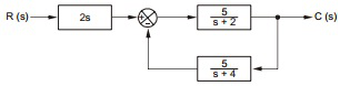
Considere o sistema de controle abaixo.
A função de transferência é dada por:
A função de transferência é dada por:
Provas
Questão presente nas seguintes provas

Provas
Questão presente nas seguintes provas
Cadernos
Caderno Container