Magna Concursos

Foram encontradas 185 questões.

1404662 Ano: 2019
Disciplina: História
Banca: ENEM
Orgão: ENEM
A Regência iria enfrentar uma série de rebeliões nas províncias, marcadas pela reação das elites locais contra o centralismo monárquico levado a efeito pelos interesses dos setores ligados ao café da Corte, como a Cabanagem, no Pará, a Balaiada, no Maranhão, e a Sabinada, na Bahia. Mas, de todas elas, a Revolução Farroupilha era aquela que mais preocuparia, não só pela sua longa duração como pela sua situação fronteiriça da província do Rio Grande, tradicionalmente a garantidora dos limites e dos interesses antes lusitanos e agora nacionais do Prata.
PESAVENTO, S. J. Farrapos com a faca na bota. In: FIGUEIREDO, L. História do Brasil para ocupados. Rio de Janeiro: Casa da Palavra, 2013.
A característica regional que levou uma das revoltas citadas a ser mais preocupante para o governo central era a
 

Provas

Questão presente nas seguintes provas
1404622 Ano: 2019
Disciplina: Matemática
Banca: ENEM
Orgão: ENEM
Para a compra de um repelente eletrônico, uma pessoa fez uma pesquisa nos mercados de seu bairro. Cada tipo de repelente pesquisado traz escrito no rótulo da embalagem as informações quanto à duração, em dia, associada à quantidade de horas de utilização por dia. Essas informações e o preço por unidade foram representados no quadro.
Tipo
Duração
em dia
Horas por dia
de utilização
Preço
em real
I 30 12 12,00
II 32 9 9,00
III 40 10 10,00
IV 44 8 11,00
V 48 8 12,00
A pessoa comprará aquele que apresentar o menor custo diário, quando ligado durante 8 horas por dia.
Nessas condições, o repelente eletrônico que essa pessoa comprará é do tipo
 

Provas

Questão presente nas seguintes provas
1404481 Ano: 2019
Disciplina: Biologia
Banca: ENEM
Orgão: ENEM
Atualmente, uma série de dietas alimentares têm sido divulgadas com os mais diferentes propósitos: para emagrecer, para melhorar a produtividade no trabalho e até mesmo dietas que rejuvenescem o cérebro. No entanto, poucas têm embasamento científico, e o consenso dos nutricionistas é que deve ser priorizada uma dieta balanceada, constituída de frutas e vegetais, uma fonte de carboidrato, uma de ácido graxo insaturado e uma de proteína. O quadro apresenta cinco dietas com supostas fontes de nutrientes.
Supostas fontes de nutrientes de cinco dietas
Dieta Carboidrato Ácido graxo insaturado Proteína
1 Azeite de oliva Peixes Carne de aves
2 Carne de aves Mel Nozes
3 Nozes Peixes Mel
4 Mel Azeite de oliva Carne de aves
5 Mel Carne de boi Azeite de oliva
A dieta que relaciona adequadamente as fontes de carboidrato, ácido graxo insaturado e proteína é a
 

Provas

Questão presente nas seguintes provas
1403411 Ano: 2019
Disciplina: História
Banca: ENEM
Orgão: ENEM
Os pesquisadores que trabalham com sociedades indígenas centram sua atenção em documentos do tipo jurídico-administrativo (visitas, testamentos, processos) ou em relações e informes e têm deixado em segundo plano as crônicas. Quando as utilizam, dão maior importância àquelas que foram escritas primeiro e que têm caráter menos teórico e intelectualizado, por acharem que estas podem oferecer informações menos deformadas. Contrariamos esse posicionamento, pois as crônicas são importantes fontes etnográficas, independentemente de serem contemporâneas ao momento da conquista ou de terem sido redigidas em período posterior. O fato de seus autores serem verdadeiros humanistas ou pouco letrados não desvaloriza o conteúdo dessas crônicas.
PORTUGAL, A. R. O ayllu andino nas crônicas quinhentistas: um polígrafo na literatura brasileira do século XIX (1885-1897). São Paulo: Cultura Acadêmica, 2009.
As fontes valorizadas no texto são relevantes para a reconstrução da história das sociedades pré-colombianas porque
 

Provas

Questão presente nas seguintes provas
1403264 Ano: 2019
Disciplina: Geografia
Banca: ENEM
Orgão: ENEM
Uma ação tomada por alguns países que pode funcionar é proporcionar bolsas de estudo e empréstimos para aqueles que querem estudar em centros universitários fora do país, com a contrapartida de que, após a conclusão da faculdade, essas pessoas possam pagar ao governo voltando e trabalhando no país de origem. Desburocratizar o exercício de certas profissões e incentivar centros de excelência também pode ajudar.
MALI, T. Disponível em: www.ufjf.br. Acesso em: 10 out. 2015 (adaptado).
As medidas governamentais descritas buscam conter a ocorrência do seguinte processo demográfico:
 

Provas

Questão presente nas seguintes provas
1402926 Ano: 2019
Disciplina: Biologia
Banca: ENEM
Orgão: ENEM
Um dos processos biotecnológicos mais antigos é a utilização de microrganismos para a produção de alimentos. Num desses processos, certos tipos de bactérias anaeróbicas utilizam os açúcares presentes nos alimentos e realizam sua oxidação parcial, gerando como produto final da reação o ácido lático.
Qual produto destinado ao consumo humano tem sua produção baseada nesse processo?
 

Provas

Questão presente nas seguintes provas
1402773 Ano: 2019
Disciplina: Matemática
Banca: ENEM
Orgão: ENEM
Um jardineiro cultiva plantas ornamentais e as coloca à venda quando estas atingem 30 centímetros de altura. Esse jardineiro estudou o crescimento de suas plantas, em função do tempo, e deduziu uma fórmula que calcula a altura em função do tempo, a partir do momento em que a planta brota do solo até o momento em que ela atinge sua altura máxima de 40 centímetros. A fórmula é !$ h = 5·\log_2 (t + 1) !$, em que t é o tempo contado em dia e h, a altura da planta em centímetro.
A partir do momento em que uma dessas plantas é colocada à venda, em quanto tempo, em dia, ela alcançará sua altura máxima?
 

Provas

Questão presente nas seguintes provas
1402532 Ano: 2019
Disciplina: Português
Banca: ENEM
Orgão: ENEM
Menino de cidade — Papai, você deixa eu ter um cachorro no meu sítio? — Deixo. — E um porquinho-da- índia? E ariranha? E macaco e quatro cabritos? E duzentos e vinte pombas? E um boi? E vaca? E rinoceronte? — Rinoceronte não pode. — Tá bem, mas cavalo pode, não pode? O sítio é apenas um terreno no estado do Rio sem maiores perspectivas imediatas. Mas o garoto precisa acreditar no sítio como outras pessoas precisam acreditar no céu. O céu dele é exatamente o da festa folclórica, a bicharada toda e ele, que nasceu no Rio e vive nesta cidade sem animais.
CAMPOS, P. M. Balé do pato e outras crônicas.
São Paulo: Ática, 1988.
Nessa crônica, a repetição de estruturas sintáticas, além de fazer o texto progredir, ainda contribui para a construção de seu sentido,
 

Provas

Questão presente nas seguintes provas
1402445 Ano: 2019
Disciplina: Estatística
Banca: ENEM
Orgão: ENEM
O quadro apresenta a relação dos jogadores que fizeram parte da seleção brasileira de voleibol masculino nas Olimpíadas de 2012, em Londres, e suas respectivas alturas, em metro.
Nome Altura (m)
Bruninho 1,90
Dante 2,01
Giba 1,92
Leandro Vissoto 2,11
Lucas 2,09
Murilo 1,90
Ricardinho 1,91
Rodrigão 2,05
Serginho 1,84
Sidão 2,03
Thiago Alves 1,94
Wallace 1,98
Disponível em: www.cbv.com.br. Acesso em: 31 jul. 2012 (adaptado).
A mediana das alturas, em metro, desses jogadores é
 

Provas

Questão presente nas seguintes provas
1402423 Ano: 2019
Disciplina: Química
Banca: ENEM
Orgão: ENEM
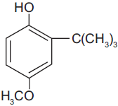
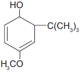
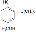
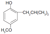
O 2-BHA é um fenol usado como antioxidante para retardar a rancificação em alimentos e cosméticos que contêm ácidos graxos insaturados. Esse composto caracteriza-se por apresentar uma cadeia carbônica aromática mononuclear, apresentando o grupo substituinte terc-butil na posição orto e o grupo metóxi na posição para.
A fórmula estrutural do fenol descrito é
 

Provas

Questão presente nas seguintes provas