Foram encontradas 110 questões.
Provas
Provas
Provas
Provas

Provas
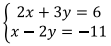
Qual o resultado do produto entre os valores da solução do sistema de equações a seguir?

Provas
Qual a área do triângulo retângulo a seguir?
Considere: sen30° = 1/2 cos30° = √3/2 e tg30° = √3/3

Provas
Provas
Escutar música clássica tem algum benefício real?
Clemency Burton-Hill *Para a BBC Culture
14 julho 2018
Somos uma espécie que produz música - sempre fomos, sempre seremos. Também somos uma espécie de intercâmbio musical: muito antes de adolescentes apaixonados trocarem suas playlists, ou o serviço de streaming nos permitir compartilhar nossas faixas favoritas, já nos comunicávamos e nos conectávamos através da música.
Evoluímos como humanos ao nos reunir ao redor da fogueira depois de um longo dia de caça e coleta para cantar canções e contar histórias com músicas. Era isso que nossos ancestrais faziam; é assim que eles davam sentido ao mundo; foi assim que eles aprenderam a ser.
Esse é um impulso ainda fundamental sobre quem somos. Hoje, no entanto, nossas vidas modernas estão desintegradas e exauridas em um grau sem precedentes. Quem tem o luxo de encontrar tempo todo dia para prestar total atenção a uma determinada música? E, por outro lado, talvez nunca tenhamos precisado tanto do espaço emocional que a música - especialmente a clássica - nos oferece.
Pesquisas científicas vêm mostrando que atos de autocuidado trazem benefícios indescritíveis à nossa saúde mental e nosso bem-estar, mas pessoalmente nunca consegui manter, por exemplo, uma meditação ou ioga regularmente.
Nunca vou à academia, não importa o quão nobres sejam minhas intenções. Eu funciono essencialmente à base de café e açúcar. Sempre deixo a declaração do meu imposto de renda para o final do prazo. Todo ano defino metas que não consigo cumprir - e com isso fico ainda mais estressada. Tenho certeza de que não estou sozinha (pelo menos é o que espero).
Mas na realidade até eu tenho a disciplina para, em alguns minutos por dia, pôr meus fones de ouvido, escutar uma única peça musical e me transformar. Embora tenha tocado o violino desde a infância e trabalhado escrevendo e apresentando programas de música clássica, só entendi o efeito milagroso do contato diário com essa música depois de dois anos particularmente difíceis.
Dores pessoais, malabarismos entre as incompatíveis demandas de uma carreira freelancer implacável e uma criança enérgica; um permanente sentimento de estar à beira do esgotamento enquanto dizia ao mundo “está tudo bem!” - nem é preciso dizer que estava num estado pouco saudável. No entanto, nenhuma das soluções que experimentei teve efeito. Exceto a música.
Quando tornei meu hábito musical um ritual diário, comecei a me sentir menos ansiosa quase que imediatamente. Fiz uma curadoria mensal com uma peça clássica por dia. Entrar no metrô e apertar o play em vez de automaticamente ser sugada pelas redes sociais parecia me estabilizar espiritualmente. Eu comecei a esperar ansiosamente por isso. E me ocorreu que, se eu posso me beneficiar de uma forma tão significativa com esse pequeno mas poderoso hábito de “manutenção da alma”, então outros também poderiam.
Acredito que os maiores trabalhos musicais são motores de empatia; eles nos permitem viajar sem nos deslocar: para outras vidas, idades, almas. Eles também são robustos: encaixam-se na nossa vida multitarefa, nossa vida real. Então não questione se você tem as “credenciais” certas para se tornar um aficionado por música clássica ou se está ouvindo “de forma correta”. Confie em mim, o único critério é ter orelhas.
Você pode ouvir a playlist enquanto se desloca; levá-la para uma caminhada; colocá-la ao fundo quando prepara o café da manhã de seus filhos ou os leva à escola; faça dela sua trilha sonora para preparar o jantar, beber ou relaxar, para quando lavar ou passar a roupa, quando ler seus emails; tudo o que você precisa fazer é apertar o play. Acredito que há poucos momentos da vida que a música não consiga complementar. Isso é música para se viver - para viver sua melhor vida.
(Trecho adaptado. Disponível em: https://www.bbc. com/portuguese/vert-cul-44283069)
Clemency Burton-Hill, apresentadora da BBC Radio 3, é autora do livro ‘Year of Wonder - Classical Music for Everyday’ (Ano de Fascinação - Música Clássica para Todos os Dias, em tradução livre), em que apresenta compositores e suas obras, desde a era medieval até os dias atuais, com sugestões de músicas a serem escutadas a cada dia do ano.
“Hoje, NO ENTANTO, nossas vidas modernas estão desintegradas e exauridas em um grau sem precedentes.”
Assinale a alternativa cujo elemento que pode substituir sem prejuízo gramatical nem de sentido o que está destacado no excerto acima.
Provas
Provas
Caderno Container