Foram encontradas 920 questões.
311472
Ano: 2010
Disciplina: Atualidades e Conhecimentos Gerais
Banca: VUNESP
Orgão: Pref. Diadema-SP
Disciplina: Atualidades e Conhecimentos Gerais
Banca: VUNESP
Orgão: Pref. Diadema-SP
A Polícia Federal (PF) prendeu nesta sexta-feira (10.09.2010) o governador do estado durante a Operação Mãos Limpas. O governador é suspeito de participar de uma organização criminosa composta por servidores públicos, políticos e empresários que supostamente praticavam desvio de recursos públicos do estado e da União.
(http://gl.globo.com. Adaptado)
O estado onde ocorreu o fato é
Provas
Questão presente nas seguintes provas
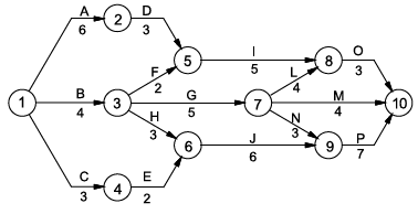
Considere o cronograma de rede da figura.

As letras representam as atividades, cuja duração, em dias, está indicada abaixo de cada uma delas. O tempo previsto pelo caminho crítico, em dias, é
Provas
Questão presente nas seguintes provas
Analise as seguintes afirmações relacionadas ao serviço de correio eletrônico ou e-mail da Internet:
I. A sequência de caracteres maria#dominio.com.br tem uma estrutura compatível com o endereço de um usuário registrado no Brasil.
II. O termo Anexo diz respeito ao arquivo que o usuário do serviço de e-mail pode agregar a mensagem e enviar ao destinatário desejado.
III. Cliente de e-mail é o nome do programa que deve ser instalado no computador do usuário para que ele possa enviar e receber mensagens.
É correto apenas o que se afirma em
Provas
Questão presente nas seguintes provas
311330
Ano: 2010
Disciplina: TI - Sistemas Operacionais
Banca: VUNESP
Orgão: Pref. Diadema-SP
Disciplina: TI - Sistemas Operacionais
Banca: VUNESP
Orgão: Pref. Diadema-SP
Provas:
- LinuxRedes no LinuxAdministração de Serviços de Rede no Linux
- LinuxSegurança no Linux
- Servidor de EmailPostfix
Em se tratando do servidor de e-mail Postfix, o principal arquivo de configuração, main.cf, possui um parâmetro de verificação de endereço para evitar problemas com sondagens de endereço, que é o parâmetro
Provas
Questão presente nas seguintes provas
Diversas pesquisas realizadas no Brasil e em outros países do mundo têm um caráter de exploração, descrição e explicação de um dado fenômeno ou processo social. A implementação de políticas públicas também teve esse caráter no que tange ao uso destas pesquisas científicas, sobretudo aquelas que associaram população e saúde. Na história da higiene pública brasileira, encontramos o lema “Prevenir antes de curar”. Esse lema refere-se ao trabalho
Provas
Questão presente nas seguintes provas
Analise o seguinte fluxograma, supondo que os valores dos vetores tab1[i] e tab2[i], com i variando de 0 a 9, são:
tab1: 0, 2, 7, 3, 2, 1, 9, 1, 3, 5
tab2: 1, 1, 1, 0, 2, 0, 1, 1, 2, 0

Após a execução do algoritmo, os valores que serão enviados ao dispositivo de saída são, na sequência:
Provas
Questão presente nas seguintes provas
- Arquitetura e Design de SoftwareArquitetura de Sistemas de Informação
- Arquitetura e Design de SoftwareArquitetura em Camadas
- Engenharia de SoftwareAnálise e Projeto de Software
Durante a fase de projeto de um sistema, definiu-se que ele irá trabalhar no modelo de 3 camadas. Nesse modelo, em relação ao acesso a dados, as telas de cadastro
Provas
Questão presente nas seguintes provas
Considere a seguinte representação de uma tabela de um banco de dados relacional.
Produto (ID, Nome, Valor)
O comando da álgebra relacional para efetuar a seleção dos atributos dessa tabela, para o caso em que o atributo Valor seja maior do que 20, é:
Provas
Questão presente nas seguintes provas
310802
Ano: 2010
Disciplina: Direito Cultural, Desportivo e da Comunicação
Banca: VUNESP
Orgão: Pref. Diadema-SP
Disciplina: Direito Cultural, Desportivo e da Comunicação
Banca: VUNESP
Orgão: Pref. Diadema-SP
Segundo Teixeira Coelho, a política cultural é entendida habitualmente como “(...) programa de intervenções realizadas pelo Estado, instituições civis, entidades privadas ou grupos comunitários com o objetivo de satisfazer as necessidades culturais da população e promover o desenvolvimento de suas representações simbólicas. Sob este entendimento imediato, a política cultural apresenta-se assim como o conjunto de iniciativas, tomadas por esses agentes, visando promover a produção, distribuição e o uso da cultura, a preservação e divulgação do patrimônio histórico e o ordenamento do aparelho burocrático por elas responsável.”
(José Teixeira Coelho, Dicionário crítico de política cultural: cultura e imaginário. São Paulo: Iluminuras/Fapesp, 1997)
De acordo com essa definição, uma política cultural
Provas
Questão presente nas seguintes provas
A velocidade medida em m/s da água que escoa em um duto de 25 mm de diâmetro, com a vazão de 2 litros/s, será de, aproximadamente,
Provas
Questão presente nas seguintes provas
Cadernos
Caderno Container