Foram encontradas 1.020 questões.
Uma sala de aula tem N > 1 meninos e M > 2 meninas.
Uma comissão com duas meninas e um menino dessa
classe deve ser formada para discursarem na formatura
da turma.
O número de possibilidades para formar essa comissão pode ser calculado por meio da fórmula:
O número de possibilidades para formar essa comissão pode ser calculado por meio da fórmula:
Provas
Questão presente nas seguintes provas
Um chaveiro cobra uma taxa fixa de R$ 15,00 para ir até a casa do cliente, acrescida de R$ 120,00 por hora de
trabalho no local.
Considerando-se V(t) o valor total que será cobrado do cliente após t horas de trabalho no seu local, é correto afirmar que
Considerando-se V(t) o valor total que será cobrado do cliente após t horas de trabalho no seu local, é correto afirmar que
Provas
Questão presente nas seguintes provas
Se o quarto termo de uma progressão aritmética (PA) é 5
e o nono termo é 20, a soma dos primeiros 2025 termos
dessa PA é igual ao produto de 2025 por
Provas
Questão presente nas seguintes provas
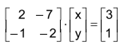
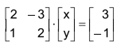
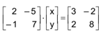
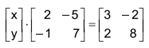
O sistema linear
escrito na forma
matricial, equivale a:
Provas
Questão presente nas seguintes provas
Ao longo de um dia, a temperatura de uma localidade,
em T(t) graus Fahrenheit, foi modelada por
sendo t a hora do dia, com t = 0 correspondendo às 6 horas da manhã.
Sabendo-se que a fórmula de conversão de temperatura da escala Fahrenheit para a escala Celsius é dada por
a temperatura, em graus Celsius, às
6 horas da tarde desse dia e nessa localidade era de,
aproximadamente,
Provas
Questão presente nas seguintes provas
A meia-vida do isótopo mais estável do rádio é de, aproximadamente, 1 600 anos, o que significa que, a cada
1 600 anos, a massa de uma amostra desse isótopo se
reduz à metade. Uma amostra de q0
miligramas desse
isótopo se desintegra de maneira que, após t anos, a
sua massa passará a ser igual a q(t) miligramas, em que
q(t) = q02kt, e k é uma constante real.
Nessa circunstância, o valor de k é igual a:
Nessa circunstância, o valor de k é igual a:
Provas
Questão presente nas seguintes provas
Na figura, os ângulos destacados são congruentes, ST = 32/5 cm, RT = 29/5 cm e QS = 96/5 cm.

A medida de
, em centímetros, é igual a:
Provas
Questão presente nas seguintes provas
Em uma pesquisa sobre uso das redes sociais A, B e C,
feita com 150 pessoas, foram obtidos os seguintes dados:
1) 55 usam a rede social A;
2) 68 usam a rede social B;
3) 99 usam a rede social C;
4) 25 usam as redes sociais A e B;
5) 39 usam as redes sociais B e C;
6) 22 usam as redes sociais A e C;
7) 4 não usam quaisquer das três redes sociais;
8) há pessoas que usam as três redes sociais.
Sorteando-se ao acaso uma das pessoas entrevistadas, a probabilidade de que ela tenha declarado usar apenas as redes sociais A e B é de
1) 55 usam a rede social A;
2) 68 usam a rede social B;
3) 99 usam a rede social C;
4) 25 usam as redes sociais A e B;
5) 39 usam as redes sociais B e C;
6) 22 usam as redes sociais A e C;
7) 4 não usam quaisquer das três redes sociais;
8) há pessoas que usam as três redes sociais.
Sorteando-se ao acaso uma das pessoas entrevistadas, a probabilidade de que ela tenha declarado usar apenas as redes sociais A e B é de
Provas
Questão presente nas seguintes provas
A figura indica um hexágono regular e um pentágono
regular que compartilham um mesmo lado. Sabe-se
ainda que as retas r e s são paralelas, cortadas pela
transversal t.
Em relação à figura, a medida de α é
Em relação à figura, a medida de α é
Provas
Questão presente nas seguintes provas
Samanta deseja estimar quanto tempo vai levar para ir caminhando da sua casa até a casa de sua avó ao ritmo
de 4,2 km/h.
Sabendo-se que a distância que Samanta deve percorrer é de 1,6 km, é correto estimar que o tempo que ela levará para percorrer essa distância é de, aproximadamente,
Sabendo-se que a distância que Samanta deve percorrer é de 1,6 km, é correto estimar que o tempo que ela levará para percorrer essa distância é de, aproximadamente,
Provas
Questão presente nas seguintes provas
Cadernos
Caderno Container